机器人进阶---视觉算法(五)仿射变换和投影变换有什么区别
仿射变换和投影变换有什么区别
- 1. 定义
- 2. 几何特性
- 3. 变换矩阵
- 4. 应用场景
- 5. Python代码示例
- 仿射变换
- 投影变换
- 6. 总结
仿射变换和投影变换都是图像处理中常用的几何变换方法,但它们在变换性质、应用场景和变换矩阵等方面存在一些关键区别。
1. 定义
-
仿射变换 (Affine Transformation):
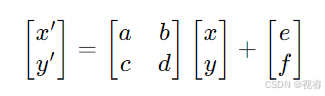
仿射变换是一种线性变换,可以表示为:

其中,(a, b, c, d, e, f) 是变换参数。仿射变换可以实现平移、旋转、缩放和剪切等操作。 -
投影变换 (Projective Transformation):
投影变换是一种非线性变换,可以表示为:

其中,(a, b, c, d, e, f, g, h, i) 是变换参数。投影变换可以纠正图像的透视失真。
2. 几何特性
-
仿射变
