NHANES指标推荐:RFM

文章题目:Higher relative fat mass was associated with a higher prevalence of gallstones in US adults
DOI:10.1186/s12876-025-03715-3
中文标题:在美国成年人中,相对脂肪质量越高,胆结石患病率就越高
发表杂志:BMC Gastroenterol
影响因子:2区,IF=2.5
发表时间:2025年3月
今天给大家分享一篇在 2025年3月发表在《BMC Gastroenterol(2区,IF=2.5)的文章。本研究旨在调查成年人相对脂肪质量(RFM)与胆结石之间的关联。
研究方法:利用 2017-2023 年全国健康和营养检查调查 (NHANES) 获得的信息,基于加权多变量回归分析、平滑曲线拟合和阈值效应分析,检验 RFM 与胆结石之间的相关性。使用亚组分析和交互作用检验,我们调查了这种关联在不同人群中是否保持一致。我们通过受试者工作特征 (ROC) 分析和计算曲线下面积 (AUC) 评估了 RFM 和体重指数 (BMI) 在检测胆结石方面的有效性。
Table&Figure




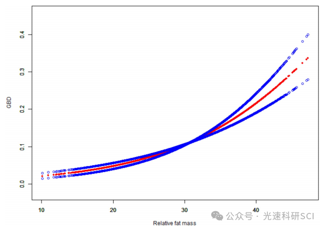
结果解读:本研究共涉及7618名受试者。RFM平均值为30.74±5.68。根据完全调整模型,胆结石患病率与RFM呈正相关(OR = 1.09;95% CI:1.07-1.11;p < 0.001),RFM每增加一个单位,胆结石患病率就会增加9%。这种相关性在40岁以下和女性人群中尤为明显。平滑曲线拟合显示RFM与胆结石发生之间存在非线性关联,拐点位于19.8。此外,ROC分析显示,RFM(AUC = 0.674)作为胆结石形成的预测指标优于BMI(AUC = 0.634)。
结论:RFM 越高,胆结石患病率越高。在普通人群中,RFM 可能比 BMI 更有助于预测胆结石。早期 RFM 管理可缓解或改善胆结石。
大家在科研路上,可以借鉴这种研究方法,为自己的课题添砖加瓦。万层高楼平底起,一起加油呀!
