OJ - 设计循环队列
622. 设计循环队列 - 力扣(LeetCode)
循环队列是一种线性数据结构,其操作表现基于 FIFO(先进先出)原则,并且队尾被连接在队首之后以形成一个循环。它也被称为“环形缓冲器”。
循环队列的一个好处是我们可以利用这个队列之前用过的空间。在一个普通队列里,一旦一个队列满了,我们就不能插入下一个元素,即使在队列前面仍有空间。但是使用循环队列,我们能使用这些空间去存储新的值。
注意:这里最开始就要开好空间。而不是放1个元素开一个空间
实现以下操作:
MyCircularQueue(k): 构造器,设置队列长度为 k 。Front: 从队首获取元素。如果队列为空,返回 -1 。Rear: 获取队尾元素。如果队列为空,返回 -1 。enQueue(value): 向循环队列插入一个元素。如果成功插入则返回真。deQueue(): 从循环队列中删除一个元素。如果成功删除则返回真。isEmpty(): 检查循环队列是否为空。isFull(): 检查循环队列是否已满。
目录
一.分析
1.链表实现
2.数组实现
二.数组实现
1.定义结构
2.初始化
3.判空满
3.插入、删除
4.取队头数据
5.取队尾数据
6. free
一.分析
链表 or 数组实现?
1.链表实现
front 指向队头。rear 刚开始的状态,决定了它指向队尾元素的下一个元素,插入一个元素,往后走一下
空的判定:front == rear

满的判定:front == rear
那 front == rear 时,到底是空还是满?
解决方案:
1.引入 size 判空满。当 front == rear 时,size == 0 为空;size == k 为满
2.多开一个位置 (不是开哨兵位)。
出数据 deQueue:让 front 往前走。数据并没有被删除,只是无效了

方案2:多开一个位置
空:front == rear
满:front == rear->next


链表实现,取头好取,取尾很难受
如果最开始就让 rear 指向尾,初始化又很难搞
空满都是这样,如果处理特殊情况会让代码可读性下降
解决方案:1.引入rearprev 2.双向链表
2.数组实现
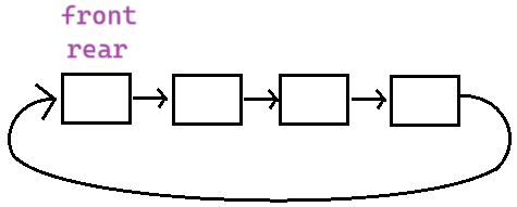
依然要多开一个

当 rear 走到下标 k+1 时,% (k+1) 就可以让他回到下标为0的位置
rear + 1 == front 满(一般情况)
数组实现,取尾比链表方便很多,用双向链表得不偿失。链表唯一优势就是到尾不用判断,直接 ->next 到头
二.数组实现
1.定义结构
typedef struct {int* a; // 指向开辟的 k+1 个空间的数组int front; // 指向队头int rear; // 指向队尾的下一个元素int k; // 方便front rear到下标为 k+1 的位置时取模 %
} MyCircularQueue;
2.初始化
MyCircularQueue* myCircularQueueCreate(int k) {MyCircularQueue* ret = (MyCircularQueue*)malloc(sizeof(MyCircularQueue));ret->front = ret->rear = 0;ret->k = k;ret->a = (int*)malloc(sizeof(int) * (k+1));return ret;
}
3.判空满
bool myCircularQueueIsEmpty(MyCircularQueue* obj) {return obj->front == obj->rear;
}bool myCircularQueueIsFull(MyCircularQueue* obj) {return (obj->rear+1) % (obj->k+1) == obj->front;
}
一般情况:
rear + 1 == front 满
特殊情况:
( rear + 1 ) % ( k + 1 ) == front 满
一般情况中:( rear + 1 ) % ( k + 1 ) == rear + 1,不会对一般情况造成影响
3.插入、删除
原本数组为满,就插入失败。原本数组为空,就删除失败。
bool myCircularQueueEnQueue(MyCircularQueue* obj, int value) {if (myCircularQueueIsFull(obj))return false;obj->a[obj->rear++] = value;obj->rear %= (obj->k + 1); // 防止 rear 走到下标为 k+1 的位置return true;
}bool myCircularQueueDeQueue(MyCircularQueue* obj) {if (myCircularQueueIsEmpty(obj))return false;obj->front++;obj->front %= (obj->k + 1); // 防止 front 走到下标为 k+1 的位置return true;
}
4.取队头数据
int myCircularQueueFront(MyCircularQueue* obj) {if (myCircularQueueIsEmpty(obj))return -1;elsereturn obj->a[obj->front];
}
5.取队尾数据
int myCircularQueueRear(MyCircularQueue* obj) {if (myCircularQueueIsEmpty(obj))return -1;elsereturn obj->a[obj->rear - 1]; // 这里对吗?
}
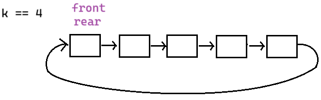
上面的代码对于这种情况会造成越界访问:
解决1:
int myCircularQueueRear(MyCircularQueue* obj) {if (myCircularQueueIsEmpty(obj))return -1;elsereturn obj->a[(obj->rear-1 + obj->k+1) % (obj->k+1)];
}
一般情况,( rear + 5 ) % 5 没有影响。 上面那种情况:( 0 - 1 + 5 ) % 5 == 4
解决2:判断
int myCircularQueueRear(MyCircularQueue* obj) {if (myCircularQueueIsEmpty(obj))return -1;else{if (obj->rear == 0)return obj->a[obj->k];elsereturn obj->a[obj->rear - 1];}
}int myCircularQueueRear(MyCircularQueue* obj) {if (myCircularQueueIsEmpty(obj))return -1;else{int x = obj->rear == 0 ? obj->k : obj->rear - 1;return obj->a[x];}
}
6. free
malloc 了几次,就要 free 几次
void myCircularQueueFree(MyCircularQueue* obj) {free(obj->a);free(obj);
}
