算法期末复习
算法期末复习

1.单选题
\1. 二分搜索算法是利用( A)实现的算法。
A. 分治策略 B. 动态规划法 C. 贪心法 D. 回溯法
\2. 回溯法解旅行售货员问题时的解空间树时( C ) 。
A. 子集树 B. 深度优先生成树 C. 排序树 D. 广度优先生成树
\3. 下列算法中通常以自底向上的方式求解最优解的是(B )。
A. 备忘录法 B. 动态规划法 C. 回溯法 D. 贪心法
\4. 下面问题( D)不能使用贪心法解决。
A. 单源最短路径问题 B.背包问题 C. 最小花费生成树问题 D. N皇后问题
\5. 实现循环赛日程表利用的算法是( B)。
A. 动态规划法 B. 分治策略 C. 贪心法 D. 回溯法
\6. 下列算法中通常以深度优先方式系统搜索问题解的是( C )。
A. 备忘录法 B. 动态规划法 C. 回溯法 D. 贪心法
\7. 矩阵连乘问题的算法可由( A)设计实现。
A. 动态规划法 B. 贪心法 C. 回溯法 D. 分治策略
\8. 能够用动态规划解决的问题还有一个显著特征为(D ),这个性质并不是动态规划适用的必要条件,但是如果该性质无法满足,动态规划算法同其他算法相比就不具备优势。
A. 子问题的可求解性 B. 子问题的独立性
C. 子问题的可合并性 D. 子问题的重叠性
\9. 下面哪种函数是回溯法中为避免无效搜索采取的策略(B )。
A. 递归函数 B. 剪枝函数 C. 随机数函数 D. 搜索函数
\10. 哈夫曼编码的贪心算法所需的计算时间为( C )。

\11. 设f(n)=O(n),g(n)=O(n2),那么h(n)=f(n)+g(n)的复杂度为(A)。
A. O(n2) B. O(n) C. O(n3) D. O(n1.5)
\12. 下列哪个符号代表了算法复杂度的下界( B ) 。
A. O B. Ω C. ω D. Ø
\13. 下列不是动态规划算法基本步骤的是(A )。
A. 找出最优解的性质 B. 构造最优解 C. 算出最优解 D. 定义最优解
\14. 下列是动态规划算法基本要素的是(D)。
A. 定义最优解 B. 构造最优解 C. 算出最优解 D. 子问题重叠性质
\15. 用贪心法设计算法的关键是(B )。
A. 将问题分解为多个子问题来分别处理 B. 选好贪心准则
C. 获取各阶段间的递推关系 D. 满足最优秀原理
\16. 回溯法搜索解空间树,通常采用( C )函数来避免无效搜索,提高效率。
A. 约束函数 B. 预测函数 C. 剪枝函数 D. 限界函数
\17. 回溯法从开始节点出发,以(D)方式搜索整个解空间。
A. 局部优先 B. 广度优先 C. 横向优先 D. 深度优先
\18. 回溯法解批处理作业调度问题时的解空间树是( B)。
A. 子集树 B. 排序树 C. 深度优先生成树 D. 广度优先生成树
\19. 实现最长公共子序列利用的算法是( C)。
A. 分治法 B. 贪心法 C.动态规划法 D. 回溯法
\20. 矩阵连乘问题的算法可由( A )设计实现。
A.动态规划法 B. 回溯法 C. 贪心法 D. 分支界限法
2.判断题
1.裴波那契数列的定义:f(n)=f(n-1)+f(n-2),f(0)=1,f(1)=2,其数据的定义形式不是按递归定义。
2.二分搜索法的二分查找只适用于顺序存储结构。
3.如果一个算法在最坏情况下的复杂度很高,那它一定不是个好算法。
4.利用动态规划算法和贪心算法得到的解都是整体最优解。
5.回溯法可以系统地搜索问题的所有解。
6.在0-1背包问题的解空间树中,从树根到叶的任一路径表示解空间中的一个元素。
7.如果一个算法由两个时间复杂度不同的子算法组成,那么该算法的复杂度取决于较高复杂度的子算法。
8.程序和算法一样,都是某种程序设计语言的具体实现。
9.分治法的基本思想是将一个规模较大的问题分解成若干个规模较小的子问题,这些子问题之间并不一定相互独立。
10.如果一类活动过程一个阶段的决策确定以后,常影响到下一个阶段的决策,则称它为多阶段决策问题。
答案:
1-5 错对错错对
6-10 对对错错对
补充的别的班给的选择题:
1.一个算法应该包含以下性质,除了(A)
A.二义性 B有限性 C正确性 D可终止性
2.当输入数据规模为n时,算法耗时最小的是(B)
A.5n B20logn C2n^2 D 3nlogn
3.下列算法中通常以自底向上的方式求解最优解的是(B)。
A分治法
B动态规划法
C贪心法
D回溯法
4.下列算法中通常以自顶向下的方式求解最优解的是(A)
A分治法
B动态规划法
C贪心法
D回溯法
5.实现最大子段和利用的算法是(A)
A分治策略
B动态规划法
C贪心法
D回溯法
6.7/8的埃及分数表达式为(A)
A.1/2+1/3+1/24
B.5/6+1/24
C.1/3+13/24
D.1/2+3/8
7.算法策略主要有:分治法、贪心法、动态规划法、(C)和分支限界法等
A微分法
B积分法
C回溯法
D筛选法
3.填空题
阅读下面C代码,输入参数n为100时,函数返回结果是:
int func(int n)
{int s=0;for(int i=0;i<=n;i=i+2){
}return s;
}
2550
阅读下面的C算法代码,时间复杂度和空间复杂度分别为:
int func2(int n)
{if(n==0||n==1){return n;}return n+func(n-2);
}
O(n),O(n)
int func3(int n)
{int k=0;while(n>=1){for(j=0;j<n;j++){k=k+1;}n=n/2;}return k;
}
上述代码的输入n=16时,输出是多少?
该循环的时间复杂度是多少?
31,O(n)
有以下硬币面值:1,20,50,在该硬币组合下,现要找零60元(可重复选取硬币),使用贪心策略凑出目标金额的最少数量是:
11
动态规划算法的三个基本要素是:
最优子结构,重叠子问题,无后效性
将5/7表示为埃及分数:
1/2+1/5+1/70

快速排序算法的性能取决于:
划分的对称性
以深度优先方式系统搜素问题解的算法称为:
回溯法
任何可用计算机求解的问题所需的时间都与其__有关
规模
程序是___用某种程序设计语言的具体实现
算法
使用计算机求解问题的基本步骤包括哪些:
(1)问题分析;
(2)数学模型建立;
(3)算法设计与选择;
(4)算法表示;
(5)算法分析;
(6)算法实现:
(7)程序测试及调试;
(8)结果整理文档编制。
分治法所能解决的问题一般具有哪些特征?
(1)该问题的规模缩小到一定的程度就可以容易解决。
(2)该问题可以分解为若干个规模较小的相同问题。
(3)该问题所分解出的各个子问题是相互独立的。
(4)利用分解出的子问题的解可以合并为该问题的解。
4.综合题(不用写代码的那种)
1.两个字符串X=(a,b,c,b,d,b)和Y=(a,c,b,b,a,b,d,b,b),用动态规划法求字符串X和Y的最长公共子序列,请写出求解过程中的长度矩阵L和状态矩阵S,并给出X和Y的一个最长公共子序列。

X 和 Y 的所有最长公共子序列为:
(1)“BDAB”
(2)“BCBA”
- 一个多段图G=(V,E),在顶点A处有一水库,现需要从顶点A铺设一条管道到顶点E,边上的数字表示对应两个顶点之间的距离,该图采用邻接矩阵A表示。现要找出一条从顶点A到顶点E的线路,使得铺设的管道长度最短。

解:
首先求解初始子问题,可直接获得:
d(A, B1)=c(A,B1)=2(A→B1)
d(A, B1)=c(A,B2)=4(A→B2)
d(A, B3)=c(A,B3)=3(A→B3)
再求解下一个阶段的子问题,有:
d(A, C1)= min{ d(A, B1)+ c(B1,C1), d(A, B2)+ c(B2,C1), d(A, B3)+ c(B3,C1)}
= min{ 2+7, 4+3, 3+6 } = 7(B2→C1)
d(A, C2)= min{ d(A, B1)+ c(B1,C2), d(A, B2)+ c(B2,C2), d(A, B3)+ c(B3,C2)}
= min{ 2+4, 4+2, 3+2 } = 5(B3→C2)
d(A, C2)= min{ d(A, B2)+ c(B2,C3), d(A, B3)+ c(B3,C3)}
= min{ 4+4, 3+5 } = 8(B3→C3)
再求解下一个阶段的子问题,有:
d(A, D1)= min{ d(A, C1)+ c(C1,D1), d(A, C2)+ c(C2,D1), d(A, C3)+ c(C3,D1)}
= min{ 7+3, 5+6, 8+3 } = 10(C1→D1)
d(A, D2) = min{ d(A, C1)+ c(C1,D2), d(A, C2)+ c(C2,D2), d(A, C3)+ c(C3,D2)}
= min{ 7+4, 5+3, 8+3 } = 8(C2→D2)
直到最后一个阶段,有:
d(A, E)= min{ d(A, D1)+ c(D1,E), d(A, D2)+ c(D2,E)}
= min{ 10+3, 8+4 } = 12(D2→E)
则:从顶点 A 到顶点 E 铺设的管道长度最短为 A→B3→C2→D2→E,最短长度为 12
- 有这样一类特殊0-1背包问题:可选物品重量越轻的物品价值越高。N=6,C=20,P=(4,8,15,1,6,3),W=(5,3,2,10,4,8)。其中N为物品个数,C为背包载重量,P表示物品的价值,W表示物品的重量。请问对于此特殊的0-1背包问题,为使放进背包的物品总价值最大,应如何选择放进去的物品?使获得的最大总价值多少?
解: 因为该 0-1 背包问题比较特殊,恰好重量越轻的物品价值越高,所以优先取重量
轻的物品放进背包。最终可以把重量分别为 2,3,4,5 的四个物品放进背包,得到的价值和为 15 + 8 + 6 + 4 = 33,为最大值。
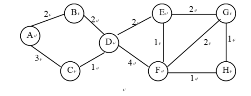
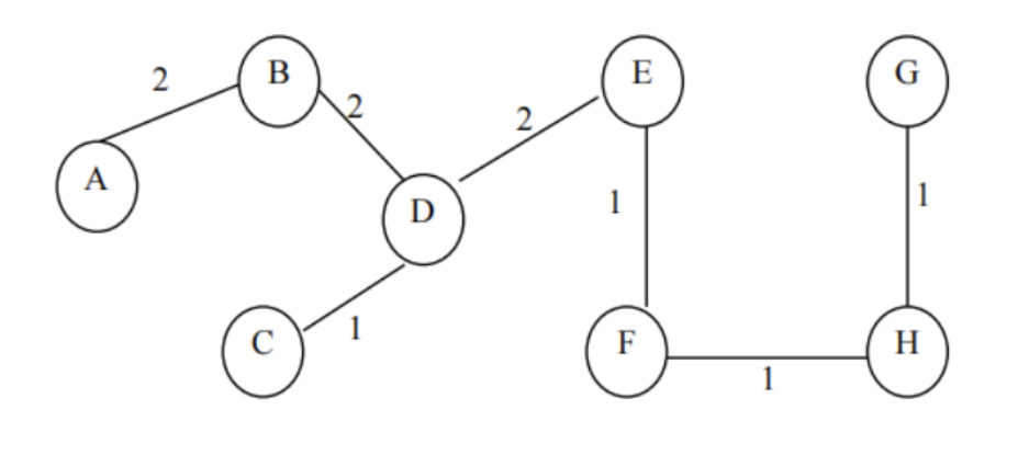
4.给定无向带权连通图G如图所示,利用贪心算法,求G的最小生成树T。

答案:

补充的综合题:
1.现有四个矩阵,其中各矩阵维数如表,计算出矩阵连乘积A1A2A3A4所需要的最少乘法次数及组合方案。

答案:

2.有4门课程需要分配给4个班级,每门课程分配给每个班级需要付出费用代价。请为每门课程分配给不同的班级并使得所有课程的总费用和最小。请用回溯法画出搜索状态的解空间树。注意:只画解空间树即可。
答案:

3.请写出动态规划的3个步骤,并写出爬到3个阶梯的计算过程。

定义状态
状态转移方程
计算顺序
设 dp[i] 表示爬到第 i 阶楼梯的方法数。
- 初始化:
- 当 i=0 时,dp[0]=1 ,表示站在原地(不移动)是一种方案。
- 当 i=1 时,dp[1]=1 ,因为只能从第0阶爬1阶到第1阶,只有一种方式。
- 计算 dp2]:
根据状态转移方程 dp[i]=dp[i−1]+dp[i−2](i≥2),当 i=2 时,dp[2]=dp[1]+dp[0]=1+1=2 。这里的两种方案是 0→1→2 和 0→2 。 - 计算 dp[3]:
当 i=3 时,dp[3]=dp[2]+dp[1]=2+1=3 。对应的三种方案就是题目中给出的 0→1→2→3 ,0→2→3 ,0→1→3 。
补充:
如果要考最大子段和:

5.代码题
用递归算法求一个整数数组a的最大元素,请分析以下问题:① 分析递归模型;
② 写出对应的递归算法。
相似的子问题:寻找数组中的最大的元素
#include <iostream>
using namespace std;
const int N=1e5+10;
int a[N];
int n;
int max_a=INT_MIN;//初始化最大值为最小整数
void dfs(int u)
{
if(u>n) return; //超出数组范围
max_a=max(max_a,a[u]);//更新最大值
dfs(u+1);//递归调用下一个元素
}
int main()
{cin>>n;for(int i=1;i<=n;i++) cin>>a[i];dfs(1);//从第一个元素开始遍历cout<<max_a<<endl;return 0;
}
算法实现,输出2~1000之间的所有完全数。所谓完全数,是指这样的数,该数的各因子(除该数本身外)之和正好等于该数本身,例如:6=1+2+3。
#include <iostream>
using namespace std;
int main()
{for(int num=2;num<=1000;num++) {int sum=1; for(int i=2;i*i<num;i++){if(num%i==0){sum+=i;if(i!=num/i){sum+=num/i;}}}if(sum==num&&num!=1){cout<<num<<"是一个完全数"<<endl;}}return 0;
}
补充的代码题:
好像疑似考的题(因为很多班老师说会考)
猴子偷桃
一只小猴子摘了若干桃子,每天吃现有桃的一半多一个,到第十天就只有一个了,求原来有多少个桃子?
数学模型:
每天的桃子数为:
a10=1,a9=(1+a10)* 2, a8=(1+a9)*2,…
递推公式:
ai=(1+ai+1)*2,i=9,8,7,6,…1
#include <iostream>
using namespace std;
int main()
{int a=1;for(int i=9;i>=1;i=i-1){a=(a+1)*2;}cout<<a<<endl;
return 0;
}
数字三角形
也是很大概率要考的题目
观察下面的数字金字塔。
写一个程序来查找从最高点到底部任意处结束的路径,使路径经过数字的和最大。每一步可以走到左下方的点也可以到达右下方的点。

在上面的样例中,从 7→3→8→7→5 的路径产生了最大权值。
输入格式
第一个行一个正整数 r ,表示行的数目。
后面每行为这个数字金字塔特定行包含的整数。
输出格式
单独的一行,包含那个可能得到的最大的和。
输入输出样例
输入 #1复制
5
7
3 8
8 1 0
2 7 4 4
4 5 2 6 5
输出 #1复制
30
说明/提示
【数据范围】
对于 100% 的数据,1≤r≤1000,所有输入在 [0,100] 范围内。
#include <iostream>
using namespace std;
const int N=1010;
int n;
int a[N][N];
int f[N];
int main()
{cin>>n;for(int i=1;i<=n;i++){for(int j=1;j<=i;j++){cin>>a[i][j];}}for(int i=1;i<=n;i++){for(int j=i;j>=1;j--){f[j]=max(f[j],f[j-1])+a[i][j];}}int ret=0;for(int j=1;j<=n;j++){ret=max(ret,f[j]);}cout<<ret<<endl;return 0;
}
全排列问题
题目描述
按照字典序输出自然数 1 1 1 到 n n n 所有不重复的排列,即 n n n 的全排列,要求所产生的任一数字序列中不允许出现重复的数字。
输入格式
一个整数 n n n。
输出格式
由 1 ∼ n 1 \sim n 1∼n 组成的所有不重复的数字序列,每行一个序列。
每个数字保留 5 5 5 个场宽。
输入输出样例 #1
输入 #1
3
输出 #1
1 2 31 3 22 1 32 3 13 1 23 2 1
说明/提示
1 ≤ n ≤ 9 1 \leq n \leq 9 1≤n≤9。
#include <iostream>
#include <vector>
using namespace std;
const int N=15;
int n;
bool st[N];
vector<int> path;
void dfs()
{if(path.size()==n){for(auto x:path){printf("%5d",x);}cout<<endl;return;}for(int i=1;i<=n;i++){if(st[i]) continue;path.push_back(i);st[i]=true;dfs();path.pop_back();st[i]=false;}
}
int main()
{cin>>n;dfs();return 0;
}
感觉后面三题可能性更大,因为涉及到第一题是递归,第二题是动态规划,第三题是DFS,深度优先搜索遍历,考点都涉及到了,好像动态规划还有什么最长公共字序列问题
以编辑距离的题目为例子:
编辑距离
题目描述
设 A A A 和 B B B 是两个字符串。我们要用最少的字符操作次数,将字符串 A A A 转换为字符串 B B B。这里所说的字符操作共有三种:
- 删除一个字符;
- 插入一个字符;
- 将一个字符改为另一个字符。
A , B A, B A,B 均只包含小写字母。
输入格式
第一行为字符串 A A A;第二行为字符串 B B B;字符串 A , B A, B A,B 的长度均小于 2000 2000 2000。
输出格式
只有一个正整数,为最少字符操作次数。
输入输出样例 #1
输入 #1
sfdqxbw
gfdgw
输出 #1
4
说明/提示
对于 100 % 100 \% 100% 的数据, 1 ≤ ∣ A ∣ , ∣ B ∣ ≤ 2000 1 \le |A|, |B| \le 2000 1≤∣A∣,∣B∣≤2000。
#include <iostream>using namespace std;const int N = 2010;string a, b;int n, m;int f[N][N];int main(){
cin >> a >> b;n = a.size(); m = b.size();a = " " + a; b = " " + b;// 初始化for(int i = 1; i <= n; i++) f[i][0] = i;for(int j = 1; j <= m; j++) f[0][j] = j;for(int i = 1; i <= n; i++)for(int j = 1; j <= m; j++){if(a[i] == b[j]) f[i][j] = f[i - 1][j - 1];else f[i][j] = min(min(f[i - 1][j], f[i - 1][j - 1]), f[i][j - 1]) + 1;}cout << f[n][m] << endl;return 0;}
