LeetCode19.删除链表的倒数第N个节点
题目
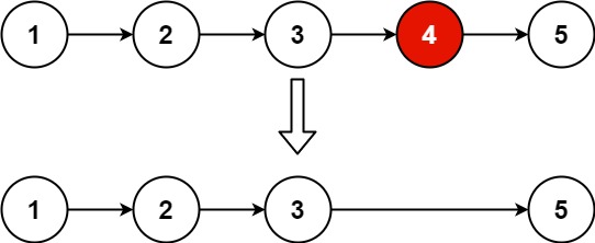
给你一个链表,删除链表的倒数第 n 个结点,并且返回链表的头结点。请用一次扫描实现
示例 1:

输入:head = [1,2,3,4,5], n = 2 输出:[1,2,3,5]
示例 2:
输入:head = [1], n = 1 输出:[]
示例 3:
输入:head = [1,2], n = 1 输出:[1]
提示:
- 链表中结点的数目为
sz 1 <= sz <= 300 <= Node.val <= 1001 <= n <= sz
思路
快慢指针,让快指针领先慢指针n,慢指针指向的就刚好是倒数第n个节点
代码
/*** Definition for singly-linked list.* struct ListNode {* int val;* ListNode *next;* ListNode() : val(0), next(nullptr) {}* ListNode(int x) : val(x), next(nullptr) {}* ListNode(int x, ListNode *next) : val(x), next(next) {}* };*/
class Solution {
public:ListNode* removeNthFromEnd(ListNode* head, int n) {//哑节点,用于方便删除,因为要定位到要删除元素的前一个ListNode* dummy = new ListNode();dummy->next = head;ListNode* first = head;ListNode* second = dummy;while(n --) first = first->next;//让快指针领先慢指针n,慢指针指向的就刚好是倒数第n个节点while(first)//当快指针领先n后,两个一起遍历,快指针停下来时候,慢指针指向刚好是n - 1个节点(多了一个dummy节点,不然是n){first = first->next;second = second->next;}second->next = second->next->next;//删除第n个元素ListNode* ans = dummy->next;//有时候删掉的就是head,如一个的情况,因此返回的是dummy->nextdelete dummy;//防止内存泄漏return ans;}
};
