力扣最热一百题——二叉搜索树中第 K 小的元素

目录
题目链接:230. 二叉搜索树中第 K 小的元素 - 力扣(LeetCode)
题目描述
进阶问题
1. 使用带节点计数的增强型二叉搜索树
思路:
实现细节:
算法步骤:
2. 使用平衡二叉搜索树(如 AVL 树、红黑树)
3. 使用其他数据结构(如跳表、B+ 树)
什么是二叉搜索树
操作
特性与应用
解法一:中序遍历
代码说明:
示例输入输出:
Java写法:
C++写法:
运行时间
时间复杂度和空间复杂度
总结
题目链接:230. 二叉搜索树中第 K 小的元素 - 力扣(LeetCode)
注:下述题目描述和示例均来自力扣
题目描述
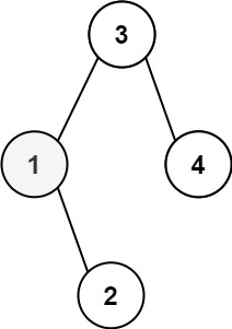
给定一个二叉搜索树的根节点 root ,和一个整数 k ,请你设计一个算法查找其中第 k 小的元素(从 1 开始计数)。
示例 1:

输入:root = [3,1,4,null,2], k = 1 输出:1
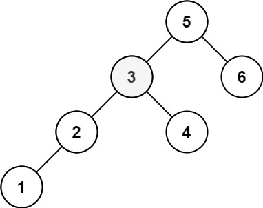
示例 2:

输入:root = [5,3,6,2,4,null,null,1], k = 3 输出:3
提示:
- 树中的节点数为 n。
- 1 <= k <= n <= 10^4
- 0 <= Node.val <= 10……4
进阶问题
进阶:如果二叉搜索树经常被修改(插入/删除操作)并且你需要频繁地查找第 k 小的值,你将如何优化算法?
当二叉搜索树(BST)频繁被修改(插入/删除操作),并且需要频繁地查找第 k 小的值时,普通的中序遍历方法可能不再高效。因为每次查找都需要重新遍历树,时间复杂度为 O(h + k),其中 h 是树的高度。如果树不平衡,性能会进一步下降。
为了优化这种情况,我们可以引入一些额外的数据结构或策略来减少重复计算。以下是几种常见的优化方法:
1. 使用带节点计数的增强型二叉搜索树
思路:
在每个节点中维护一个额外的字段 size,表示以该节点为根的子树中节点的总数(包括当前节点)。这样可以快速定位第 k 小的元素,而无需每次都进行完整的中序遍历。
实现细节:
- 每个节点增加一个 size字段。
- 插入和删除操作时,更新相关路径上的 size值。
- 查找第 k小的元素时,利用size字段直接确定目标节点的位置。
算法步骤:
- 如果左子树的 size大于等于k,说明第k小的元素在左子树中,递归进入左子树。
- 如果左子树的 size加上当前节点正好等于k,则当前节点就是第k小的元素。
- 否则,第 k小的元素在右子树中,递归进入右子树,并将k减去左子树的size和当前节点的 1。
2. 使用平衡二叉搜索树(如 AVL 树、红黑树)
如果树经常被修改且不保证平衡性,树可能会退化成链表,导致性能下降。因此,使用自平衡的二叉搜索树(如 AVL 树或红黑树)可以确保树的高度始终保持在 O(log n)。
        结合上述增强型 BST 的思想,在自平衡树中维护 size 字段,可以在 O(log n) 时间内完成插入、删除和查找第 k 小的操作。
3. 使用其他数据结构(如跳表、B+ 树)
对于更复杂的场景(例如大规模数据存储),可以考虑使用其他支持动态排序和范围查询的数据结构,例如跳表(Skip List)或 B+ 树。这些数据结构通常用于数据库系统和文件系统,能够更好地处理频繁的插入、删除和查询操作。
什么是二叉搜索树
二叉搜索树(Binary Search Tree, BST),也称为有序二叉树(ordered binary tree)或排序二叉树(sorted binary tree),是一种特殊的二叉树数据结构,它具有以下特性:
-  节点值的顺序: - 每个节点包含一个键(key)、一个关联的值、一个指向左子树的引用和一个指向右子树的引用。
- 节点的键大于左子树中任意节点的键。
- 节点的键小于右子树中任意节点的键。
 
-  左右子树也是二叉搜索树: - 除了根节点外,每个节点本身也是一个二叉搜索树,包括其所有的属性和规则。
 
-  没有重复的键: - 通常情况下,二叉搜索树不允许存在重复的键。不过,在某些实现中可以通过特定方式存储重复的键。
 
操作
-  查找(Search):从根节点开始,如果目标值等于节点的键,则找到;如果目标值较小,则在左子树中继续查找;如果较大,则在右子树中查找。这个过程递归进行,直到找到匹配的节点或者到达叶节点为止。 
-  插入(Insert):类似于查找操作,首先定位到应该插入的位置,然后创建一个新的节点作为该位置的子节点。 
-  删除(Delete):较为复杂,分为三种情况: - 删除的节点是叶节点:直接移除该节点。
- 删除的节点只有一个孩子:将该节点与其子节点连接起来,然后移除该节点。
- 删除的节点有两个孩子:可以使用该节点的前驱(in-order predecessor)或后继(in-order successor)来替换它,然后再删除前驱或后继节点。
 
-  遍历(Traversal):有多种遍历方式,如前序遍历(Pre-order Traversal)、中序遍历(In-order Traversal)、后序遍历(Post-order Traversal)。其中,中序遍历会按照升序访问所有节点,这是由BST的性质决定的。 
特性与应用
- 高效的数据检索:由于其结构特点,使得查找、插入和删除操作的时间复杂度平均为O(log n),但在最坏的情况下(如树退化成链表时)这些操作的时间复杂度可能达到O(n)。
- 平衡性问题:为了保证高效的性能,需要保持树的平衡。因此出现了诸如AVL树、红黑树等自平衡二叉搜索树。
二叉搜索树广泛应用于数据库和文件系统中的索引结构,以及需要快速查找、插入和删除数据的应用场景。通过保持树的平衡,可以确保在大多数情况下操作都是高效的。
解法一:中序遍历
        在二叉搜索树(BST)中,中序遍历会按照从小到大的顺序访问节点。因此,我们可以通过对 BST 进行中序遍历,在遍历过程中记录当前访问的节点数,当访问到第 k 个节点时,返回其值即可。
代码说明:
- TreeNode 类:定义了二叉树的节点结构。
- kthSmallest 方法: - 使用栈实现非递归的中序遍历。
- 遍历过程中用 count记录当前访问的节点数。
- 当 count == k时,返回当前节点的值。
 
- 主函数: - 构造了一个示例二叉搜索树,并调用 kthSmallest方法查找第k小的元素。
 
- 构造了一个示例二叉搜索树,并调用 
示例输入输出:
假设二叉搜索树如下:
5/ \3 6/ \2 4/1
如果 k = 3,则输出为:3
Java写法:
/*** Definition for a binary tree node.* public class TreeNode {*     int val;*     TreeNode left;*     TreeNode right;*     TreeNode() {}*     TreeNode(int val) { this.val = val; }*     TreeNode(int val, TreeNode left, TreeNode right) {*         this.val = val;*         this.left = left;*         this.right = right;*     }* }*/
class Solution {public int kthSmallest(TreeNode root, int k) {// 使用栈来模拟中序遍历Stack<TreeNode> stack = new Stack<>();TreeNode current = root;int count = 0;while (current != null || !stack.isEmpty()) {// 先将左子树的所有左节点压入栈while (current != null) {stack.push(current);current = current.left;}// 弹出栈顶元素current = stack.pop();count++;// 如果是第 k 个元素,直接返回if (count == k) {return current.val;}// 转向右子树current = current.right;}}
}C++写法:
#include <iostream>
#include <stack>using namespace std;// 定义二叉树节点结构
struct TreeNode {int val;TreeNode* left;TreeNode* right;TreeNode(int x) : val(x), left(nullptr), right(nullptr) {}
};class Solution {
public:int kthSmallest(TreeNode* root, int k) {// 使用栈来模拟中序遍历stack<TreeNode*> stk;TreeNode* current = root;int count = 0;while (current != nullptr || !stk.empty()) {// 先将左子树的所有左节点压入栈while (current != nullptr) {stk.push(current);current = current->left;}// 弹出栈顶元素current = stk.top();stk.pop();count++;// 如果是第 k 个元素,直接返回if (count == k) {return current->val;}// 转向右子树current = current->right;}// 如果没有找到第 k 小的元素,抛出异常throw invalid_argument("Invalid input or k is out of range");}
};int main() {// 构建一个示例二叉搜索树TreeNode* root = new TreeNode(5);root->left = new TreeNode(3);root->right = new TreeNode(6);root->left->left = new TreeNode(2);root->left->right = new TreeNode(4);root->left->left->left = new TreeNode(1);Solution solution;int k = 3;cout << "第 " << k << " 小的元素是: " << solution.kthSmallest(root, k) << endl;return 0;
}运行时间

时间复杂度和空间复杂度
- 时间复杂度:O(n),其中 n 是二叉搜索树的节点数。最坏情况下需要遍历所有节点。
- 空间复杂度:O(h),其中 h 是树的高度(最坏情况下为 O(n),平均情况下为 O(log n))。
总结
这真的好ez了。嘿嘿嘿
