当前位置: 首页 > news >正文

力扣 797. 所有可能的路径

题目

给你一个有 n 个节点的 有向无环图(DAG),请你找出所有从节点 0 到节点 n-1 的路径并输出(不要求按特定顺序

 graph[i] 是一个从节点 i 可以访问的所有节点的列表(即从节点 i 到节点 graph[i][j]存在一条有向边)。

示例 1:

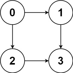
输入:graph = [[1,2],[3],[3],[]]
输出:[[0,1,3],[0,2,3]]
解释:有两条路径 0 -> 1 -> 3 和 0 -> 2 -> 3

示例 2:

输入:graph = [[4,3,1],[3,2,4],[3],[4],[]]
输出:[[0,4],[0,3,4],[0,1,3,4],[0,1,2,3,4],[0,1,4]]

提示:

  • n == graph.length
  • 2 <= n <= 15
  • 0 <= graph[i][j] < n
  • graph[i][j] != i(即不存在自环)
  • graph[i] 中的所有元素 互不相同
  • 保证输入为 有向无环图(DAG)

思路

        这题虽然是图,但是如果你熟悉二叉树的遍历或者说你知道回溯的框架代码为什么那么写,其实这题就不难,题目已经明确说了没有环,那么我们就可以省略掉visited数组了,然后剩下的工作其实就是找到每一个节点,然后遍历这个节点所能到达的所有结点,最后收集结果就大功告成了。

代码

         这里和回溯有点儿不同的是回溯是在for循环里面处理数据,而这里是在循环外面处理的数据,具体原因你仔细想一想就能知道,如果在循环里面处理数据,那么根节点是处理不到的,不信你可以试试(手动狗头)。

class Solution {List<List<Integer>> res = new LinkedList<>();void traverse(int[][] graph,int s,LinkedList<Integer> path){//将s添加到路径中path.add(s);//判断是否到达终点if(s==graph.length-1){
//因为  Java 函数参数传的是对象引⽤,所以向  res 中添加path 时需要拷⻉⼀个新的列表,否则最终 res 中的列表都是空的。res.add(new LinkedList<>(path));}//递归每个节点for(int v:graph[s]){traverse(graph,v,path);}//从路径中移除当前节点spath.removeLast();}public List<List<Integer>> allPathsSourceTarget(int[][] graph) {LinkedList<Integer> path=new LinkedList<>();traverse(graph,0,path);return res;}
}

好啦,分享就到这儿,收工~

http://www.dtcms.com/a/139934.html

相关文章:

  • 2025宽带避坑指南:百兆、千兆、万兆到底怎么选
  • 对话框类别组件编写
  • 【开源项目】Excel手撕AI算法深入理解(四):注意力机制(Self-Attention、Multi-head Attention)
  • HashMap中put方法的执行流程
  • IOS微信小程序无法显示背景图片
  • 音频识别优化(FFT)
  • 认识Vue
  • Java锁的分类与解析
  • QT6 源(34):随机数生成器类 QRandomGenerator 的源码阅读
  • 科学护理进行性核上性麻痹,缓解病痛提升生活质量
  • 用cython将python程序打包成C++动态库(windows+Vistual Studio2017平台)
  • Lombok @Builder 注解的进阶玩法:自定义 Getter/Setter 方法全攻略
  • 在没有第三方库的情况下使用 Python 自带函数解码
  • 3.串口通信之SPI
  • Java学习手册:Java内存模型
  • 22、字节与字符的概念以及二者有什么区别?
  • 【Python爬虫基础篇】--1.基础概念
  • MCP Server和Client的基本使用方法
  • halcon模板匹配(八)alignment_for_ocr_in_semiconductor
  • OCR:开启文档抽取的智能变革之门
  • 4.16 AT好题选做
  • 探索关系型数据库 MySQL
  • LFI to RCE
  • DiffuRec: A Diffusion Model for Sequential Recommendation
  • 将二进制的stl文件转换为ascii的形式
  • stm32F103、GD32F103读写Nor Flash实战指南
  • 吉利矩阵(DFS)
  • [AI]浅谈大模型应用开发的认知构建
  • ecovadis审核有什么原则?什么是ecovadis审核,有什么意义
  • 递归函数详解