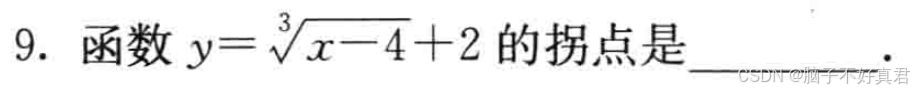
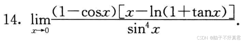
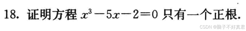
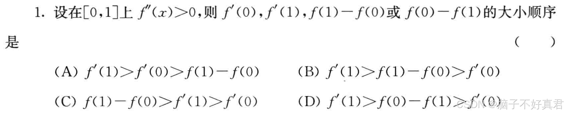
当前位置: 首页 > news >正文 高等数学同步测试卷 同济7版 试卷部分 上 做题记录 第三章微分中值定理与导数的应用同步测试卷 B 卷 news 2025/10/14 8:53:39 第三章微分中值定理与导数的应用同步测试卷 B 卷 一、单项选择题(本大题共5小题,每小题3分,总计15分) 1. 2. 3. 4. 5. 二、填空题(本大题共5小题,每小题3分,总计15 分) 6. 7. 8. 9. 10. 三、求解下列各题(本大题共5小题,每小题6分,总计 30 分) 11. 12. 13. 14. 15. 四、求解下列各题(本大题共5小题,每小题8分,总计40分) 16. 17. 18. 19. 20. 查看全文 http://www.dtcms.com/a/132327.html 相关文章: C++中string库常用函数超详细解析与深度实践 Java数组初始化全解析:方式、场景与最佳实践 嵌入式基础(二)ARM基础 瑞幸微RK系列平台的YOLO部署(上篇) Python学习笔记(列表) 使用wpa_cli和wpa_supplicant配置Liunx开发板的wlan0无线网 idea的快捷键使用以及相关设置 mybatis--多对一处理/一对多处理 数据库的种类及常见类型 L3-027 可怜的复杂度(纯暴力) 供应链管理:供应链管理的边界 HTTP协议 --- 超文本传输协议 和 TCP --- 传输控制协议 什么是端点日志监控 spark中,shuffle read和shuffle write的先后顺序是什么 测试知识点总结 记录学习的第二十五天 自动化三维扫描:CASAIM外观尺寸智能检测 Makefile教程 论文学习:《EVlncRNA-net:一种双通道深度学习方法,用于对实验验证的lncRNA进行准确预测》 操做系统----第二章:多进程图像之CPU管理 PTA | 实验室使用排期 Arduino Uno R3连接HC-03 MVC 模式深度解析与 Spring 框架实践研究 Python运算符 MySQL存过 VirtualBox 无法枚举 USB 设备的问题 力扣刷题HOT100——438.找到字符串中所有字母异位词 DAY 44 leetcode 28--字符串.实现strStr() 【技术文章的标准结构与内容指南】 GIC驱动程序分析
第三章微分中值定理与导数的应用同步测试卷 B 卷 一、单项选择题(本大题共5小题,每小题3分,总计15分) 1. 2. 3. 4. 5. 二、填空题(本大题共5小题,每小题3分,总计15 分) 6. 7. 8. 9. 10. 三、求解下列各题(本大题共5小题,每小题6分,总计 30 分) 11. 12. 13. 14. 15. 四、求解下列各题(本大题共5小题,每小题8分,总计40分) 16. 17. 18. 19. 20. 查看全文 http://www.dtcms.com/a/132327.html 相关文章: C++中string库常用函数超详细解析与深度实践 Java数组初始化全解析:方式、场景与最佳实践 嵌入式基础(二)ARM基础 瑞幸微RK系列平台的YOLO部署(上篇) Python学习笔记(列表) 使用wpa_cli和wpa_supplicant配置Liunx开发板的wlan0无线网 idea的快捷键使用以及相关设置 mybatis--多对一处理/一对多处理 数据库的种类及常见类型 L3-027 可怜的复杂度(纯暴力) 供应链管理:供应链管理的边界 HTTP协议 --- 超文本传输协议 和 TCP --- 传输控制协议 什么是端点日志监控 spark中,shuffle read和shuffle write的先后顺序是什么 测试知识点总结 记录学习的第二十五天 自动化三维扫描:CASAIM外观尺寸智能检测 Makefile教程 论文学习:《EVlncRNA-net:一种双通道深度学习方法,用于对实验验证的lncRNA进行准确预测》 操做系统----第二章:多进程图像之CPU管理 PTA | 实验室使用排期 Arduino Uno R3连接HC-03 MVC 模式深度解析与 Spring 框架实践研究 Python运算符 MySQL存过 VirtualBox 无法枚举 USB 设备的问题 力扣刷题HOT100——438.找到字符串中所有字母异位词 DAY 44 leetcode 28--字符串.实现strStr() 【技术文章的标准结构与内容指南】 GIC驱动程序分析