当前位置: 首页 > news >正文

FOC算法对MCU计算资源的需求?

评估FOC(磁场定向控制)算法对MCU计算资源的需求,需从算法复杂度、硬件特性、实时性要求等多维度分析。以下是具体步骤和关键要点:

一、拆解FOC算法的核心模块及计算复杂度

FOC算法主要由以下子模块组成,需分别评估各模块的计算量:

1. 传感器采样与预处理
  • ADC采样:电流/电压采样(通常2-3路ADC)、位置/速度采样(编码器/旋转变压器)。
    • 计算量:ADC数据读取、滤波(如均值滤波、IIR滤波),涉及加法、移位运算。
  • 坐标变换(关键计算密集模块):
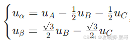
    • Clark变换:三相静止坐标系(ABC)→两相静止坐标系(αβ),公式:

每周期需6次乘法、6次加减法(若用定点运算,$\sqrt{3}/2$可预先存储为定点数)。

    • Park变换:两相静止坐标系(αβ)→同步旋转坐标系(dq),公式:

每周期需4次乘法、4次加减法,依赖角度$\theta$的实时计算(如编码器解码或观测器)。

    • 反Park变换:dq→αβ,类似Park变换,计算量相同。
2. PI调节器
  • dq轴电流环:2个PI控制器($I_d$、$I_q$),每周期需积分、比例运算及限幅。
    • 计算量:每P
http://www.dtcms.com/a/131733.html

相关文章:

  • 【蓝桥杯】2025省赛PythonB组复盘
  • Spring Boot 集成spring-boot-starter-data-elasticsearch
  • C++ Json-Rpc框架-3项目实现(2)
  • Codeforces Round 1017 (Div. 4)题解
  • 明远智睿SSD2351核心板助力智能监控系统升级
  • 软件架构设计风格
  • 【C++ 】智能指针:内存管理的 “自动导航仪”
  • 最短路径介绍
  • 【论文解读】MSVM-UNet: Multi-Scale Vision Mamba UNet for Medical Image Segmentation
  • 机器学习项目二:帕金森病检测
  • 【C++教程】使用printf语句实现进制转换
  • 前端面试题(八):简述Vue2的响应式原理
  • mysql自动赋值
  • C语言题目自增在前与在后
  • CentOS服务器能ping通却无法yum install:指定镜像源解决
  • 在思科模拟器show IP route 发现Gateway of last resort is not set没有设置最后的通道
  • One-Hot标签编码方法详解
  • 机器学习概述自用笔记(李宏毅)
  • mysql DQL
  • 「小推桌面官方下载」小推桌面TV版-安卓电视版官方免费下载新版
  • 【KWDB创作者计划】_KWDB部署与使用详细版本
  • 批量将多个文件夹转成压缩包,支持设置压缩密码
  • 【数据库系统概论】第3章 SQL(四)视图(超详细)
  • 5 C 程序全流程解析:编写、预处理、编译、汇编、链接、运行与 GCC 指令详解
  • 【C++ Qt】认识Qt、Qt 项目搭建流程(图文并茂、通俗易懂)
  • 【Spring】IoC详解:方法Bean的存储、Bean重命名、扫描路径@Component(下)
  • 计算机操作系统——存储器管理
  • Android 日志输出模块
  • 现在AI大模型能帮做数据分析吗?
  • ScholarCopilot:“学术副驾驶“