当前位置: 首页 > news >正文

信号与系统笔记——第二章 连续系统的时域分析(三)

2.3 卷积积分

Z2.12 信号的时域分解

1.预备知识

2.任意信号分解

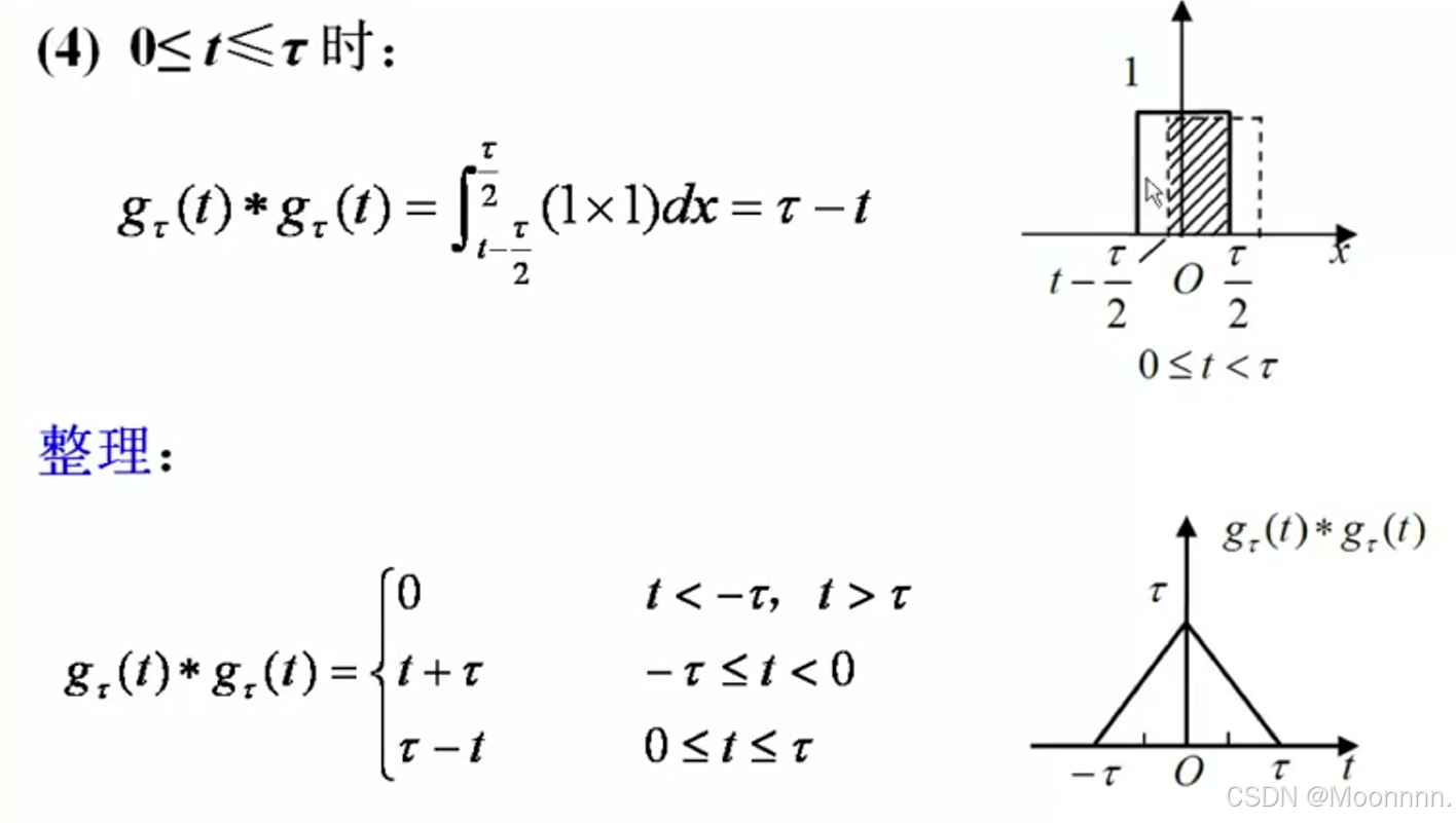
Z2.13 卷积公式

 说明:可演变其他上下限

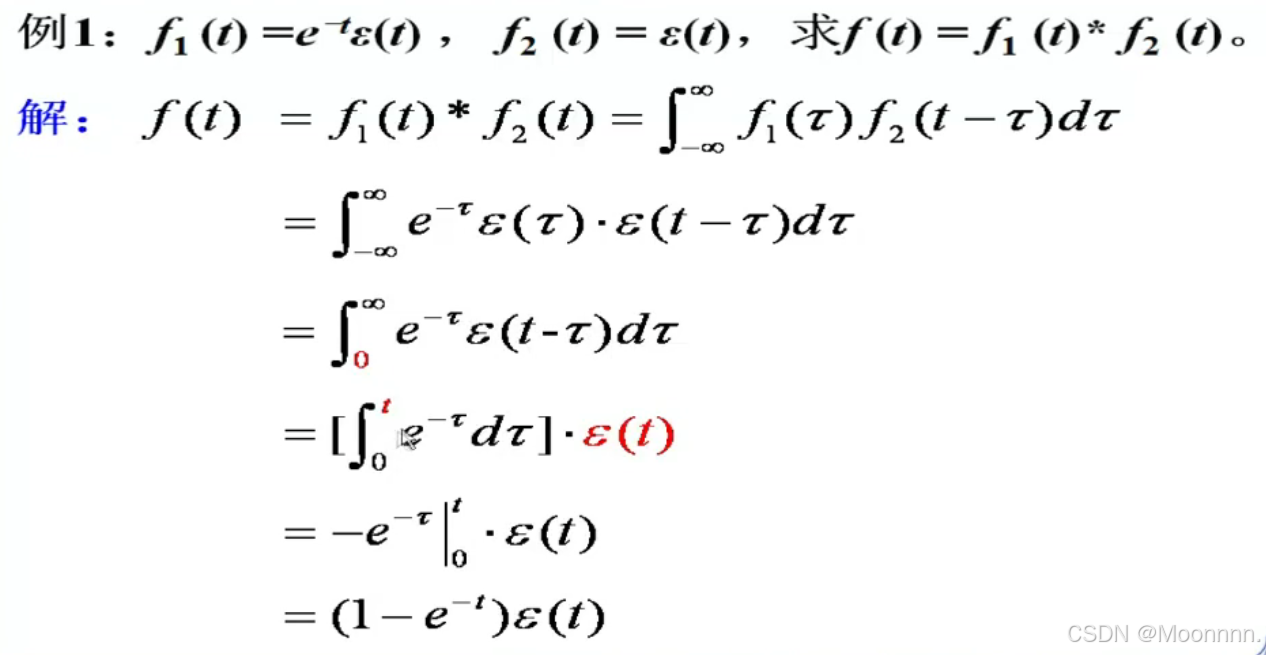
① ε(t)在t<0时恒为0,所以不考虑t<0的时候,积分限为0~+∞

②ε(t-τ)中t-τ>0,所以τ<0,积分限为-∞~t

(f(t)·ε(t)称为因果信号)

Z2.14 卷积积分的图解法

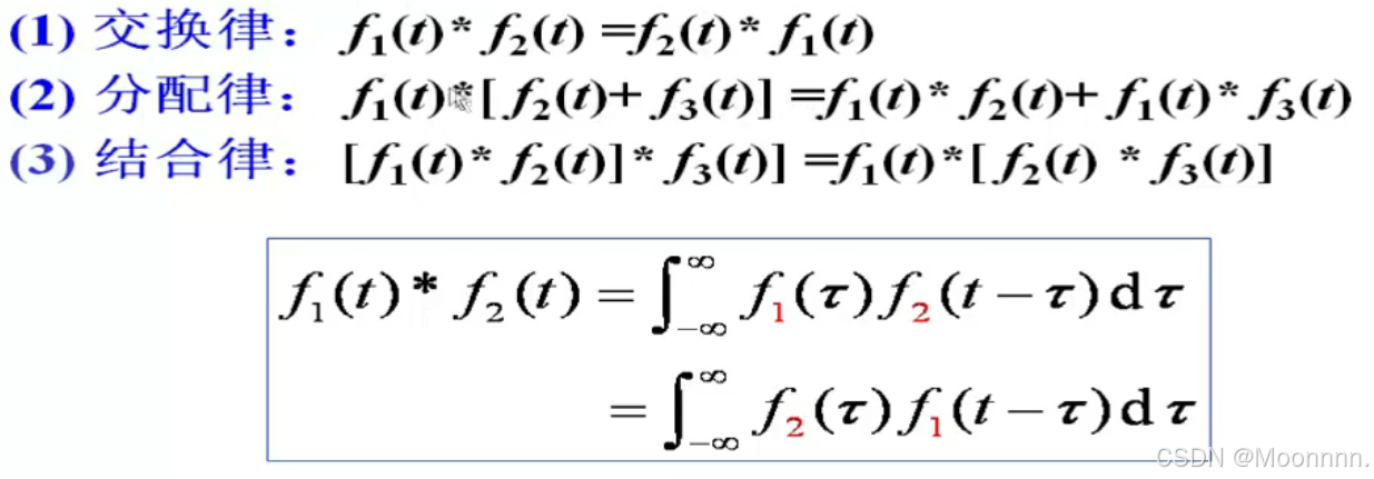
Z2.15 卷积积分的代数性质

1.满足乘法的三律

2.复合系统的冲激响应

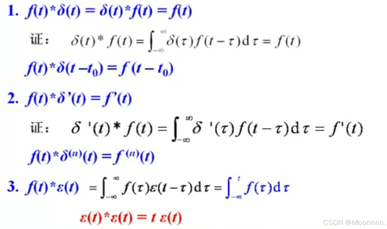
Z2.16 奇异函数的卷积特性

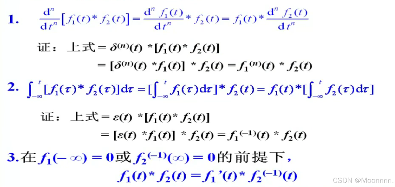
Z2.17 卷积的微积分性质

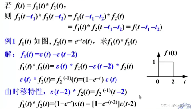
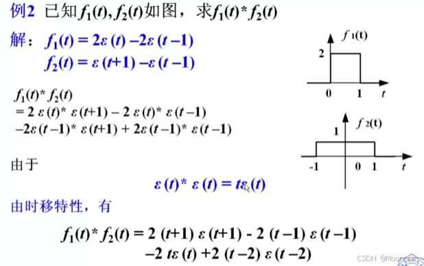
Z2.18 卷积的时移特性

Z2.19 常用的卷积重要公式

Z2.20 综合举例:卷积的多种求解

求解卷积的方法可归纳为:

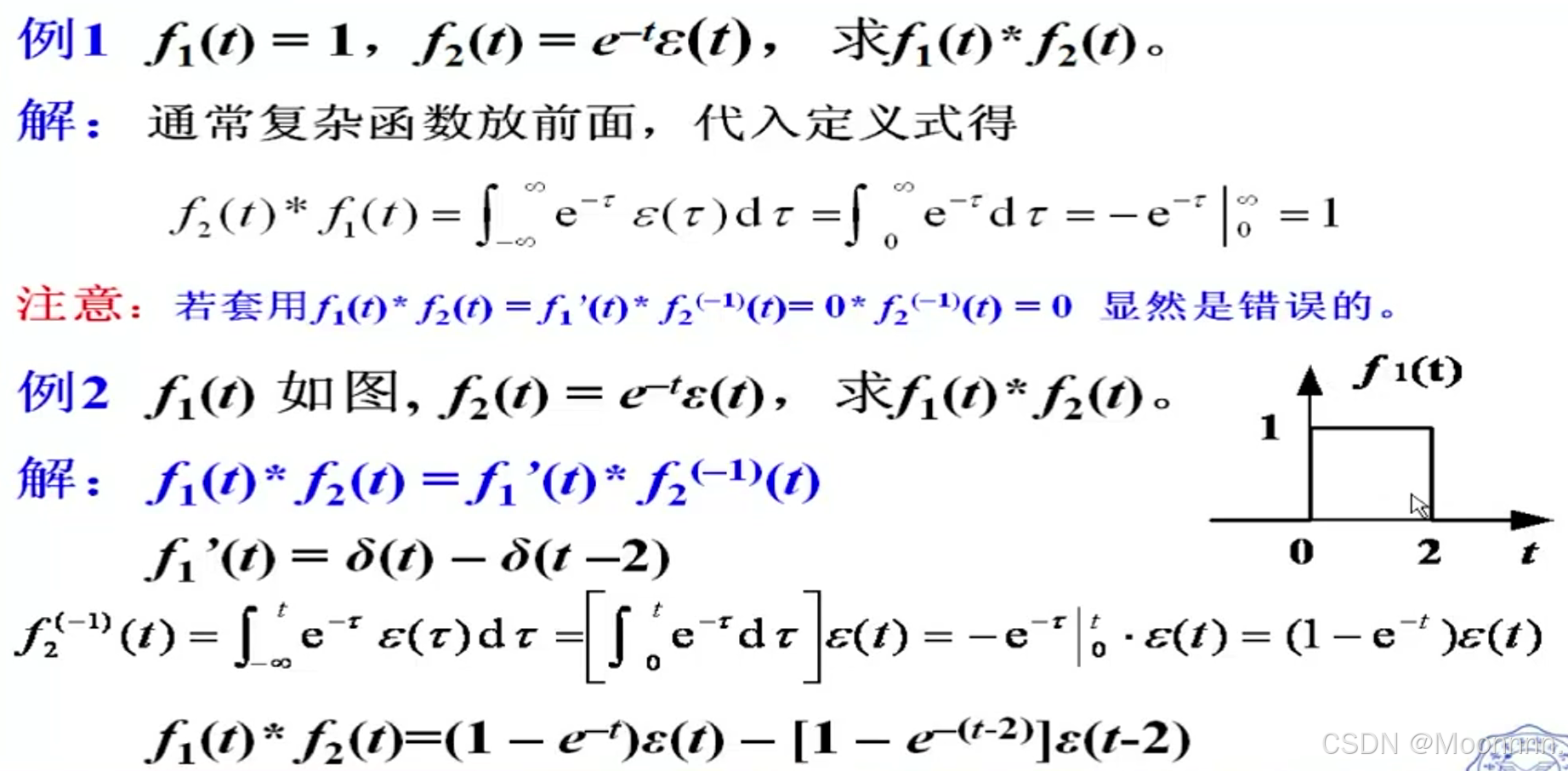
  1. 利用定义式,直接进行积分。对于容易求积分的函数比较有效。如指数函数,多项式函数等。
  2. 图解法。特别适用于求某时刻点上的卷积值。
  3. 利用性质。比较灵活。

三者常常结合起来使用。

Z2.21 综合举例:用梳状函数卷积产生周期信号

Z2.22 综合举例:矩形脉冲的卷积产生三角形和梯形脉冲

 

Z2.23 卷积的Matlab求解

MATLAB处理离散卷积的函数为 conv(f1,f2),对序列做卷积运算。

处理连续信号的卷积时,需要对连续信号取相同的卷积步长,结果再乘以实际步长(连续信号的取样间隔)。

注:本文出自对bilibili 【西安电子科技大学】郭宝龙教授(课程负责:朱娟娟) 信号与系统(第二章) 内容的学习笔记。 

http://www.dtcms.com/a/60864.html

相关文章:

  • 复现无人机的项目,项目名称为Evidential Detection and Tracking Collaboration
  • 【面试】Kafka
  • OpenCV实现图像分割与无缝合并
  • Jenkins实现自动化构建与部署:上手攻略
  • 机器学习 Day03 Numpy基本使用
  • 2025 ubuntu24系统宿主机上在线安装mysql数据库完整演示
  • Python连接SQL SEVER数据库全流程
  • 基于大模型的结节性甲状腺肿诊疗全流程预测与方案研究报告
  • 【原理理解】图像SNR信噪比理解
  • 关于JSONArray转换为JSONObject的问题解决
  • 第四章:表单与交互:打造你的「数据捕手」
  • 攻防世界 file_include【php://filter详解】
  • Reactor中的Flux和Mono的区别
  • 【2025】基于PHP+Vue的电影购票系统(源码+文档+调试+图文修改+答疑)
  • 如何用HTML5 Canvas实现电子签名功能✍️
  • 【c语言逻辑运算和判断选取精选题】
  • DeepSeek V3 并行训练、推理优化点(一)
  • Linux losetup循环设备
  • MySQL初阶 | 库的操作
  • 项目-苍穹外卖(二)增加用户+用户分页查询
  • 十三、OSG学习笔记-osgDB文件读写
  • .net 6.0 webapi支持 xml返回xml json返回json
  • Vue.js 与 Axios 实现音乐自由
  • 初阶数据结构(C语言实现)——4.2队列
  • C++和OpenGL实现3D游戏编程【连载24】——父物体和子物体之间的坐标转换
  • JavaWeb基础二(Servlet)
  • 项目上传到Gitee过程
  • Linux《基础开发工具(中)》
  • jenkins+ant+jmeter生成的测试报告空白
  • 选择排序算法OpenMP并行优化