当前位置: 首页 > news >正文

使用LSTM对2D pose sequence进行行为分类

文章目录

  • 概要
  • 数据解析
  • 代码
  • 数据集介绍

概要

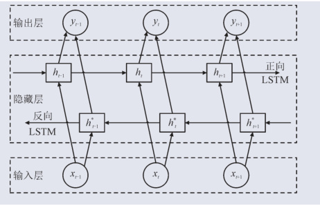
使用长短期记忆网络(LSTM)对二维姿态序列进行人体行为分类的过程通常包括以下几个步骤。首先,通过姿态估计算法获取视频或图像序列中的关键点数据,形成时间上的二维坐标序列。接着,对这些序列数据进行预处理,如归一化、平滑和补齐缺失帧,以确保数据的一致性和完整性。然后,将处理后的二维姿态序列输入到LSTM网络中,利用其强大的时间依赖建模能力捕捉动作中的时序特征。网络通过多个LSTM层提取深层次的时序信息,并最终连接一个全连接层或分类层来输出对应的行为类别。最后,通过反向传播和优化算法对模型进行训练和调优,以提高分类的准确性和鲁棒性。整体而言,LSTM在处理和理解动态人体姿态变化方面具有显著优势,适用于复杂的人体行为识别任务。

数据解析

该数据集由 12 名受试者组成,重复 5 次,从 4 个角度拍摄,每个角度重复 5 次,执行以下 6 个动作。

JUMPING,
JUMPING_JACKS,
BOXING,
WAVING_2HANDS,
WAVING_1HAND,
CLAPPING_HANDS.

LSTM 的输入是 18 个关节在帧编号时间序列(n_steps (window-width))

http://www.dtcms.com/a/53093.html

相关文章:

  • 计算机毕业设计Python+Django+Vue3微博数据舆情分析平台 微博用户画像系统 微博舆情可视化(源码+ 文档+PPT+讲解)
  • html css网页制作成品——非遗文化京剧网页设计(5页)附源码
  • DeepSeek安全:AI网络安全评估与防护策略
  • 大模型 LoRA
  • 对WebSocket做一点简单的理解
  • Halcon:HObject与opencv:Mat互转
  • Linux下安装elasticsearch(Elasticsearch 7.17.23)
  • 出现FullGC的排查思路
  • MATLAB程序介绍,三维环境下的IMM(交互式多模型),使用CV和CT模型,EKF作为滤波
  • 如何在web页面下做自动化测试?
  • OCR识别技术在集装箱号码识别中的应用
  • LLM run
  • 利用Postman和Apipost进行API测试的实践与优化-动态参数
  • SpringMvc的设计模式
  • Blazor-全局路由跳转事件
  • 污酸提铼系统提升改造工艺
  • k8s面试题总结(十)
  • TDengine SQL查询语法
  • 基于Spring Boot + Vue的图书个性化推荐系统(LW+PPT)
  • flask实现mvc模式
  • JVM内存结构和各种结构的作用
  • 蓝桥备赛(11)- 数据结构、算法与STL
  • VMware虚拟机中CentOS8系统账户,忘记密码怎么找回
  • [内网安全] Windows 域认证 — Kerberos 协议认证
  • Objective-C 中 @synthesize VS @dynamic
  • 每日一题——缺失的第一个正数
  • Taro React组件开发 —— RuiNoticeBar 通知栏
  • K8S高可用集群-小白学习之二进制部署(ansible+shell)
  • T31ZC 君正SOC芯片 应用于智能家居、工业控制等 满足各种嵌入式应用的需求 提供样品测试+软硬件资料
  • docker-compose安装redis-主从+哨兵(3台虚拟机一主两从)