当前位置: 首页 > news >正文

DeepSeek 细节之 MLA (Multi-head Latent Attention)

DeepSeek 系统模型的基本架构仍然基于Transformer框架,为了实现高效推理和经济高效的训练,DeepSeek 还采用了MLA(多头潜在注意力)。 MHA(多头注意力)通过多个注意力头并行工作捕捉序列特征,但面临高计算成本和显存占用;MLA(多头潜在注意力)则通过低秩压缩优化键值矩阵,降低显存占用并提高推理效率。

MHA(Muti Head Attention)

多头注意力机制 (MHA)通过多个注意力头并行工作来捕捉序列特征,但这种方法会导致计算成本高和显存占用大的问题。并且随着上下文窗口或批量大小的增加,多头注意力 (MHA)模型中与 KV 缓存大小相关的内存成本显着增长。

KV Cache 缓存的到底是什么呢

  • 基于 transformer 中的注意力计算公式

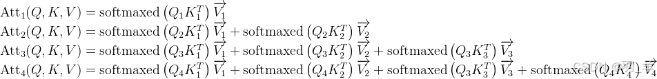
  • 预测下一个 token 时,其只能看到待预测 token 之前的所有 token,故在最终生成整个序列的过程中,会涉及到如下计算过程

  • 然后把上面的softmax结果和对应的V值一相乘,便可得到

  • 可以很明显的看到,上述计算过程中,有不少的重复计算,比如 K1V1, K2V2, K3V3 等,如果序列长度越长,类似这样的 KV 计算将越来越多

为了加快推理速度,很自然的就想起将这些 KV 对缓存到显存中,等到计算时命中了缓存就不用再重复计算了,自然也就加快了推理的速度。但是这种以空间换时间的做法,就带来了显存消耗巨大的问题,如下图所示,在模型推理时,KV Cache在显存占用量可达30%以上

自此针对于 KV cache 优化的工作也就应运而生了

GQA(Grouped-Query Attention) 、MQA(Muti Query Attention)

  • GQA是query数不变,但多个query(比如2个)组成一个group以共享一个key value
  • MQA则query也不变,但所有query(比如8个)共享一个key、一个value

MQA虽然较大降低了KV cache计算量,但性能相比MHA下降太多了,至于GQA的话则取了个折中:不好的是缓存下降的不够多、好的是相比MHA性能没有下降太多

MLA(Multi-head Latent Attent):致力于在推理中降低

  • MLA 致力于在推理中降低隐层维度,而不是直接减少 cache 的数量,而是类似 Lora 的方法,用多个小矩阵乘法来近似替代大矩阵

  • 对 Key 和 Value 进行了一个低秩联合压缩(即Low-Rank Key-Value Joint Compression,通过低秩转换为一个压缩的 KV,使得存储的 KV 的维度显著减小,在 MHA GQA中大量存在于keys values中的 KV 缓存——带阴影表示,到了MLA中时,只有一小部分的被压缩Compressed的Latent KV了

  • MLA的两个部分:一部分做压缩、一部分做RoPE编码,一文通透DeepSeek V2——通俗理解多头潜在注意力MLA:改进MHA,从而压缩KV缓存,提高推理速度一文中有详细的推导过程可供参考
    • MLA 先对Q K V的进行压缩:先对KV联合压缩后升维,再对Q压缩后升维
    • MLA 对 query 和 key 进行 RoPE 编码,并对其中的Key位置编码的部分进行 Cache,从而在推理时不需要对Key进行位置编码的计算,提高了推理效率

参考文献

  1. 一文通透DeepSeek V2——通俗理解多头潜在注意力MLA:改进MHA,从而压缩KV缓存,提高推理速度
  2. 一文搞懂DeepSeek - 多头注意力(MHA)和多头潜在注意力(MLA)
  3. DeepSeek V3推理: MLA与MOE解析
  4. 一文通透让Meta恐慌的DeepSeek-V3:在MoE、GRPO、MLA基础上提出Multi-Token预测(含FP8训练详解)
http://www.dtcms.com/a/29867.html

相关文章:

  • 二级公共基础之数据结构与算法篇(八)排序技术
  • 优先级队列
  • 登录-03.登录校验-会话技术
  • vue和微信小程序处理markdown格式数据
  • 进程(Process)
  • LLVM编译器简介
  • QUdpSocket的readyRead信号只触发一次
  • C++面试题,进程和线程方面(1)
  • Markdown 与富文本语法对照全解析
  • 使用Java爬虫获取1688 item_get_factory 接口的工厂档案信息
  • LLM+多智能体协作:基于CrewAI与DeepSeek的邮件自动化实践
  • PostgreSQL‘会用‘到‘精通‘,学习感悟
  • 《Keras 3 :使用 Vision Transformers 进行物体检测》
  • Qt开发⑥Qt常用控件_下_多元素控件+容器类控件+布局管理器
  • RabbitMQ 消息队列 优化发送邮件
  • 通信系统中物理层与网络层联系与区别
  • Linux下基于root指定用户执行命令的方法
  • OpenHarmony分布式数据管理子系统
  • JAVA-执行计划,表级锁,行级锁
  • Servlet概述(Ⅰ)
  • QT信号槽使用
  • 数据结构 之 【顺序表实现】(c语言实现)
  • Docker-技术架构演进之路
  • SpringBoot 整合 JPA
  • Redis多线程技术助力向量数据库性能飞跃
  • 图论 之 BFS
  • 【linux核心命令】
  • 【网络安全】从零开始的CTF生活
  • 酵母细胞壁市场报告:探索潜力无限的生物资源宝库
  • Windows 系统下,使用 PyTorch 的 DataLoader 时,如果 num_workers 参数设置为大于 0 的值,报错