当前位置: 首页 > news >正文

从SSM到S4

参考视频:Mamba 超超超详细解说 | 1、对 SSM 的透彻理解_哔哩哔哩_bilibili

以下内容为上述视频的学习记录,详情可看视频。


一、SSM:State Space Model

  1. 状态空间模型(State Space Model,SSM)是一种数学框架,用于描述动态系统的行为。

通过描述系统的状态变量及其动态变化规律,建模系统的状态随时间的演变以及观测数据的变化。


1.1 组成部分

  • 状态方程(State Equation):描述系统的内部状态如何随时间演变。
  • 输出方程(Output Equation):描述外部可观测的输出如何与系统状态相关联。

1.2 什么是状态State

状态是系统当前所处的条件或信息,用以确定其未来行为。


 1.3 连续SSM--Continuous State Space Model

时间是连续的,状态随时间的变化用微分方程表示。

状态方程:

\dot{x}_{​{t}}=Ax(t)+Bu(t)

  • \dot{x}_{​{t}}:状态变量的时间导数,表示系统随时间的变化率。
  • x(t):状态变量,表示系统在时刻 t 的状态。
  • u(t):输入变量,表示系统的外部控制输入。
  • A:状态转移矩阵,描述状态随时间变化的动态关系。
  • B:控制矩阵,描述输入变量对状态变化的影响。

输出方程:

y(t)=Cx(t)+Du(t)

  • y(t):输出变量,表示系统的观测值。
  • C:输出矩阵,描述状态对系统输出的影响。
  • D:直连矩阵,描述输入变量直接对输出的影响。

1.4 离散SSM--Discrete State Space Model

时间是离散的,状态随时间的变化用差分方程表示。

状态方程:

x_{k+1}=Ax_k+Bu_k

 

  • x_k​:系统在离散时刻 k的状态。
  • x_{k+1}:系统在下一时刻 k+1的状态。
  • u_k:在时刻 k 的输入变量。
  • A:状态转移矩阵,描述状态从 k到 k+1 的转移关系。
  • B:控制矩阵。

输出方程:

y_k=Cx_k+Du_k

  • y_k​:系统在时刻 k 的输出。
  • C:输出矩阵,描述状态对系统输出的影响。
  • D:直连矩阵,描述输入对输出的直接影响。

1.5 连续SSM和离散SSM的区别


1.6  SSM举例(理解系统与状态)

1.6.1 离散SSM--养鱼场例子

 1.6.2 连续SSM--弹簧系统例子


1.7 SSM的离散化

1.7.1 为什么要离散化

  • 对于连续的系统,计算机没办法处理,计算机处理数据和执行算法时通常使用离散的时间步长。离散化将连续时间系统转换为离散时间系统,使其能够在计算机上进行数值模拟和计算。
  • 通过 连续SSM 的状态方程,我们可以知道任意时刻:输入、状态、状态微分(状态对时间的导数) 的关系,但没办法根据上一时刻的状态推测下一时刻的状态。离散化后,可以将系统表示为 状态的递推公式,可逐步递推系统状态

 1.7.2 离散化方法

离散化即使用方法近似公式(3)中的\int_{t_{k-1}}^{t_k}Ax(s)ds

1.7.2.1 前向欧拉法

1.7.2.2 后向欧拉法

1.7.2.3 梯形法

1.7.2.4 零阶保持 Zero-Order Hold

 零阶保持(Zero-Order Hold,ZOH)用于将离散时间信号转换为连续时间信号。这种方法假设输入信号在每个采样周期内保持恒定不变,即在每个采样点之后,直到下一个采样点到来之前,信号的值不再变化。

1.7.3 弹簧系统离散化代码示例

1.7.3.1 定义状态空间模型SSM

 函数 example_mass(k, b, m)

def example_mass(k, b, m):
    A = np.array([[0, 1], [-k / m, -b / m]])
    B = np.array([[0], [1.0 / m]])
    C = np.array([[1.0, 0]])
    return A, B, C
  • 输入参数:弹簧常数 k,阻尼系数 b,质量 m
  • 矩阵定义
    • A:状态转移矩阵,描述系统的动态性质。
    • B:控制矩阵,描述输入对状态的影响。
    • C:输出矩阵,描述状态如何影响输出

函数 example_force(t)

@partial(np.vectorize, signature='()->()')
def example_force(t):
    x = np.sin(10 * t)
    return x * (x > 0.5)
  • 描述:定义一个时间函数 u(t),该函数为正弦函数的变体,仅在 sin(10 * t) 大于 0.5 时有效。
  • 作用:为系统提供外部输入 u(t)

1.7.3.2 离散化

函数 discretize(A, B, C, step)

def discretize(A, B, C, step):
    I = np.eye(A.shape[0])
    BL = inv(I - (step / 2.0) * A)
    Ab = (I + (step / 2.0) * A) @ BL
    Bb = (BL @ step) @ B
    return Ab, Bb, C
  • 输入参数:连续时间矩阵 ABC 和离散时间步长 step
  • 输出:离散时间的矩阵 AbBb 和 C
  • 方法:使用双线性变换(梯形积分法)进行离散化,这种方法可以提高离散化的准确性。
    • Ab:离散化后的状态转移矩阵。
    • Bb:离散化后的控制矩阵。

1.7.3.3 运行状态空间模型

函数 run_SSM(A, B, C, u)

def run_SSM(A, B, C, u):
    L = u.shape[0]
    N = A.shape[0]
    Ab, Bb, Cb = discretize(A, B, C, step=1.0 / L)
    return scan_SSM(Ab, Bb, Cb, u[:, np.newaxis], np.zeros((N,)))[1]
  • 输入参数:状态空间矩阵 ABC 和输入 u
  • 主要步骤
    1. 计算离散化的矩阵 AbBb 和 Cb
    2. 调用函数 scan_SSM 进行递归计算,返回系统的输出。

辅助函数 scan_SSM(Ab, Bb, Cb, u, x0)

def scan_SSM(Ab, Bb, Cb, u, x0):
    def step(x_k, u_k):
        x_k = Ab @ x_k + Bb @ u_k
        y_k = Cb @ x_k
        return x_k, y_k
    
    return jax.lax.scan(step, x0, u)
  • 描述:使用 jax.lax.scan 实现递归计算,模拟离散时间状态空间系统的动态行为。
  • step 函数:在每个时间步长上更新状态 x_k 和计算输出 y_k

1.7.3.4 运行示例
def example_ssm():
    ssm = example_mass(k=40, b=5, m=1)
    # Samples of u(t)
    L = 100
    step = 1.0 / L
    ks = np.arange(L)
    u = example_force(ks * step)
    
    # Approximation of y(t)
    y = run_SSM(*ssm, u)
    
    # Plotting
    import matplotlib.pyplot as plt
    import seaborn
    from celluloid import Camera

    seaborn.set_context("paper")
    fig, (ax1, ax2, ax3) = plt.subplots(3)
    camera = Camera(fig)
    ax1.set_title("Force $u_k$")
    ax2.set_title("Position $y_k$")
    ax3.set_title("Object")
    ax1.set_xticks([], [])
    ax2.set_xticks([], [])
    ax3.set_xticks([], [])

    # Animate plot over time
    for k in range(0, L, 2):
        ax1.plot(ks[:k], u[:k], color="red")
        ax2.plot(ks[:k], y[:k], color="blue")
        ax3.boxplot(
            [[y[k], -0.04, y[k], 0], [y[k], 0, y[k], 0.04]],
            showcaps=False,
            whis=False,
            vert=False,
            widths=0.1,
        )
        camera.snap()

    anim = camera.animate()
    anim.save("images/line.gif", dpi=150, writer="imagemagick")

if __name__ == "__main__":
    example_ssm()

二、S4--Structured State Space for Sequences

Structured State Space for Sequences (S4)模型在训练和推理使用了不同形式,并且设计了Hippo矩阵作为SSM方程中的矩阵A。


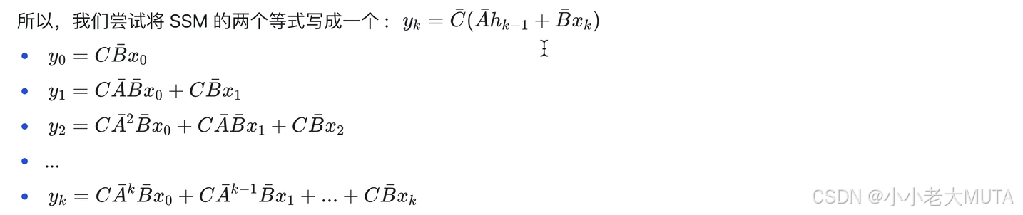
由上述内容可知,离散SSM的公式如下:

x_{k}=\bar{A}x_{k-1}+\bar{B}u_k

y_k=Cx_k

2.1 SSM的RNN表示 

 按照timesteps展开表示:

如下图,可发现SSM和RNN的表达形式基本一致

 2.2 SSM的Convolution表示

因为文字序列是一维的,它的一维卷积表示如下:

卷积形式只有一个表达式:

y_k=x_k*kernel

 

2.3 RNN表示和Convolution表示的使用

2.4 Hippo矩阵

2.5 S4的参数化

NPLR(Normal Plus LowRank):正规矩阵(Normal Matrix) +  低秩矩阵(LowRank Matrix)

http://www.dtcms.com/a/22669.html

相关文章:

  • C++--封装
  • uniapp 使用v-html在微信小程序中渲染成rich-text如何显示文本溢出省略
  • 数据库加密全解析:从传输到存储的安全实践
  • 计算机硬件组成+vmware虚拟机使用
  • #第十二题
  • window中git bash使用conda命令
  • 数据分析、商业智能、业务分析三者之间的关系
  • 计算机毕业设计hadoop+spark旅游景点推荐 旅游推荐系统 旅游可视化 旅游爬虫 景区客流量预测 旅游大数据 大数据毕业设计
  • MapReduce的工作原理及其在大数据处理中的应用
  • 多层代理模式解析Invocation
  • 重构测试项目为spring+springMVC+Mybatis框架
  • Debezium同步之如何同步GIS数据
  • 李代数和李群的转化方法
  • 计算机专业知识【软件开发中的常用图表:E - R图、HIPO、DFD、N - S、PAD详解】
  • STM32 HAL库USART串口中断编程:演示数据丢失
  • AI 百炼成神:线性回归,预测房价
  • ESP32 ESP-IDF TFT-LCD(ST7735 128x160) LVGL基本配置和使用
  • PID控制学习
  • [java详细总结] java中的String详解
  • PhotoShop新版脚本编辑工具安装
  • cornerstone3D学习笔记-MPR
  • Web 后端 请求与响应
  • 【Javascript Day17】事件传播、事件对象
  • 基于C++重构muduo网络库搭建HTTP服务器项目设计及反思
  • ffmpeg 多路流处理在iOS的具体使用
  • OpenCV机器学习(6)朴素贝叶斯分类器(Naive Bayes Classifier)cv::ml::NormalBayesClassifier的使用
  • Java内存模型(JMM)深度解析:从并发问题到解决方案
  • Webpack 基础入门
  • 代码随想录第三十五天| 46. 携带研究材料(第六期模拟笔试) 416. 分割等和子集
  • 计算机网络基础知识