Mixup
1、Mixup
将两张图片按照一定的比例融合在一起、两张图像中的标注也合在一起
效果类似如下 :

2、代码示例
from PIL import Image
import requests
import numpy as np
from pycocotools.coco import COCO
import matplotlib.pyplot as plt
import matplotlib.patches as patchesdef mixup(im, labels, im2, labels2):"""Applies MixUp augmentation by blending images and labels.See https://arxiv.org/pdf/1710.09412.pdf for details."""# 从 Beta分布中采样一个数值,作为2张图像 mixup 的比例r = np.random.beta(32.0, 32.0) # mixup ratio, alpha=beta=32.0# 将 im 和 im2 的像素值按照比例叠加在一起im = (im * r + im2 * (1 - r)).astype(np.uint8)labels = np.concatenate((labels, labels2), 0)return im, labelsif __name__ == '__main__':dataDir = '/Users/dataset/COCO2017'annFile = '{}/annotations/instances_val2017.json'.format(dataDir)coco = COCO(annFile)image_ids = [296649, 397133] # 找了2张尺寸一样的图像imgs = []labels = []for img_id in image_ids:img_url = coco.imgs[img_id]['coco_url']img_1 = Image.open(requests.get(img_url, stream=True).raw)imgs.append(np.array(img_1))label = [[anno['category_id']]+anno['bbox'] for anno in coco.imgToAnns[img_id]]labels.append(np.array(label))mixup_img, labels = mixup(imgs[0], labels[0], imgs[1], labels[1])plt.imshow(mixup_img)plt.axis('off')for bbox in labels[:, 1:]:rectangle = patches.Rectangle(bbox[:2], bbox[2], bbox[3], linewidth=1, edgecolor='r', facecolor='none')plt.gca().add_patch(rectangle)plt.show()

3、附
1)Beta 分布
(1)np.random.beta()
np.random.beta(a, b, size=None)
-
a和b是 Beta 分布的两个形状参数(shape parameters)。它们必须都大于零。这两个参数决定了 Beta 分布的形状,通常情况下,它们被称为 Alpha 和 Beta 参数。 -
size是要生成的随机样本的数量,可以是一个整数或者一个表示数组形状的元组。-
如果不提供
size参数,则返回一个单个随机数 -
如果提供了
size参数,则返回一个与size参数指定形状相同的数组。
-
(2)Beta 分布
-
np.random.beta用于生成 Beta 分布的随机数 -
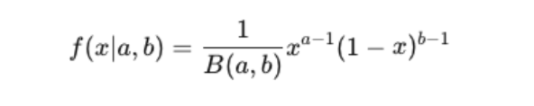
Beta 分布的随机采样点的取值范围在区间 (0, 1) 内的。这是因为 Beta 分布是一个定义在 (0, 1) 区间上的概率分布,其概率密度函数在该区间之外的值为零。Beta 分布的概率密度函数为:

其中:
-
x是在 (0, 1) 区间内的随机变量
-
a和 b是 Beta分布的两个形状参数,要求a>0 且 b>0。
-
当 a = b = 1 时,Beta 分布退化为(0,1)均匀分布
-
当a = b < 1 时,表现为两头的概率大,中间的概率小
-
当a = b
1时,相当于{0,1}二项分布,要么取0,要么取1
-
当a = b > 1 时,表现为两头概率小,中间概率大,类似正态分布
-
当a = b
时,概率恒等于0.5
-
-
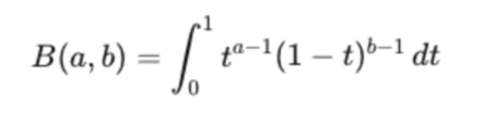
B(a,b) 是 Beta 函数,定义为:

(3)当 a=32.0, b=32.0 时,Beta 分布如下
import numpy as np
import matplotlib.pyplot as plt# 生成一万个样本
samples = np.random.beta(32.0, 32.0, size=10000)# 绘制直方图
plt.hist(samples, bins=50, density=True, alpha=0.7, color='blue', edgecolor='black')# 添加标题和标签
plt.title('Beta Distribution (alpha=32.0, beta=32.0)')
plt.xlabel('Value')
plt.ylabel('Density')# 显示图形
plt.show()

2)astype(np.uint8)
import numpy as npa = np.array([12, 279]).astype(np.uint8)
print(a) # [12 23]
np.uint8 表示的是无符号8位整数类型,其取值范围为 0 到 255(即 ),如果处理的数据超过 255,则结果值为 原数据除以 256 取余数(在该数据类型中,溢出时会发生“模运算”)。 比如上面例子中的 279,处理结果值为 279 % 256 = 23
