当前位置: 首页 > news >正文

强化学习《初学者》--基础概念贝尔曼公式

强化学习(Reinforcement Learning, RL)是机器学习的一个重要分支,它专注于让智能体(Agent)通过与环境(Environment)的交互来学习如何做出最优决策。

可能会觉得有些抽象,想象一下训练小狗做动作:如果它做对了,你就给零食(奖励);做错了就不给甚至轻微惩罚。

强化学习的最终目标:求解最优策略。沿着这个最优策略可以最大化长期累积奖励,而不是单次奖励。

一、基础概念

整篇会以网格寻找到目标网格的最优路径为例:

任务:从开始网格,找到到达目标网格的最优的路径。

1.1 状态(State)

智能体相对于环境的状态(如游戏画面、机器人传感器数据)

对于这个例子来说,这个状态可以是位置,总共有9个状态:

状态空间可以表示为: 

对于更复杂的状态可以包括速度、加速度等,具体的状态所包括的变量取决于当前的任务。对于例子的这个任务来说,只需要关注于位置即可,所以状态时位置。比如机器人的状态可以有位置、速度、加速度等等。

1.2 动作(Action)

对于每个状态,智能体可执行的操作

对于这个例子来说,对于每个状态,可能执行的动作有五个:向上、向右、向下、向左以及保持不动,分别表示为以及

每个状态的动作空间可以表示为:

不同的状态可以有不同的动作空间。

1.3 状态转移(State transition)

当采取动作时,智能体的状态可能会发生转移,从一个状态转到另一个状态,这个过程就成为状态转移。

例如,对于状态,选择动作时,则转移到状态 

对于状态,选择动作时,则转移到状态 :因为往上之后没有表格了

状态转移可以看作智能体和环境的一种交互行为

状态转移的表格表示:

 对于表格的表示来说,它只能表达确定的状态。

也可以使用概率来表示状态转移,其实就是使用条件概率来表示:在状态,如果选择动作,则状态转移到 

概率表示也是确定性的情况,但是状态转移可以是随机的,可以根据概率,随机选择一条状态来进行转移。

1.4 策略(Policy)

智能体决定动作的规则(如“在状态A时选择动作B”)。告诉智能体要选择哪一个状态

直观的表示:箭头表示策略

基于这个策略,从不同的点出发,则可以得到不同的路径:

 数学表征为:同样使用条件概率

这是一个确定的策略,也可以有不确定的策略:

 表格表征:

1.5 奖励(Reward)

环境对动作的即时反馈(如得分增加、能量消耗),也就是采取某个动作之后的得分,是一个实数、标量,可以看作人机交互的手段,引导智能体按照我们期望的方式行动。

分为:

  • 积极奖励:鼓励这种行为(0奖励也算一种特殊的鼓励  )
  • 消极奖励:乘法这种行为

在例子当中,可以设置一下奖励规则:

  • 智能体尝试越出边界:
  • 智能体进入forbidden cell:
  • 智能体进入目标cell:
  • 其他:

表格表征:

表示的是确定性的情况。

数学表征:条件概率,在状态时,如果我们选择动作,奖励是-1。

  • 的条件下,的概率为1,其他条件下的概率为0

注意:

  • 奖励规则是确定的,但是奖励转移时随机的。只有学习了就有奖励,但是获得奖励是 不确定的。
  • 奖励依赖于当前的状态和动作,而不是下一个状态。

1.6 trajectory(轨迹)和return(回报)

轨迹是一个 “状态-动作-奖励”链

回报的即是当前路径的奖励 :

判断哪个策略比较好:可以哪个策略的回报是greater。回报可以判断策略的好坏

上面的第一个策略的轨迹可以表示为:

回报为:

这个回报是没有意义的,因为这个回报时发散的。这个时候就需要discount rate,discounted return:

 通过的控制,回报就变成有限的,并且可以平衡短视和长视奖励,也就是是说:

  • 如果接近于0,discounted return的价值主要是近期获得的回报。
  • 如果接近于1,discounted return的价值主要是长期获得的回报。

1.7 Episode

当智能体遵循某个策略与环境交互时,可能会在某些终止状态处停止。由此产生的状态-动作序列被称为一个Episode

 

一个episode通常被定义为一段有限的交互轨迹。包含这类有限episode的任务称为episodic tasks。

有的任务没有终端状态,意味这与环境的交互没有结束点,这类任务称为持续任务(continuing tasks)。

实际上,我们可以通过将分集任务(episodic tasks)转化为持续任务(continuing tasks),在统一的数学框架下对待这两类任务。

  • 方案1:将目标状态视为一种特殊的吸收态。一旦智能体进入了吸收态,它便永远不会离开。从此时起,后续的奖励均为 r = 0。
  • 方案2:将目标状态视为一个正常的、具有策略的状态。即使智能体到达了目标状态,也可以选择离开。每次进入目标状态时,将获得 r = +1 的奖励。

这篇文章里面采用了 方案 2,这样做的好处是无需将目标状态与其他状态区别对待,可以像处理普通状态一样来处理目标状态。

1.8 马尔可夫决策过程(MDP)

MDP的主要元素:

集合

  • 状态
  • 动作
  • 奖励:

概率分布

  • 状态转移概率:在状态s,采取动作a,转移到状态s'的概率为
  • 奖励概率:在状态s,采取动作a,获得r奖励的概率为

策略:在状态s,选择动作a的概率为

马尔可夫属性:无记忆性属性

在马尔可夫过程中,未来的发展只依赖于前一个状态,而与过去的历史无关。

则网格这个例子也可表示为更加通用的模型:马尔可夫过程

 圆圈表示状态,带有箭头的链接表示状态转移。
一旦给出策略,马尔可夫决策过程就变成了马尔可夫过程!

1.9 总结

 强化学习就是智能体根据当前的状态选择动作,之后在环境中会进入另一个状态并获得一定的奖励,通过多次迭代,最大化这个累计奖励。

强化学习是一种机器学习方法,与监督学习和无监督学习不同。它并不依赖于标注数据,而是在一个环境中通过试错来学习最佳策略。这类似于小孩子通过尝试不同的行为来学习正确的做法。在强化学习中,核心要素:

  • 状态:智能体相对于环境的状态(如游戏画面、机器人传感器数据)
  • 动作:对于每个状态,智能体可执行的操作
  • 奖励:环境对动作的即时反馈(如得分增加、能量消耗)
  • 策略:智能体决定动作的规则(如“在状态A时选择动作B”)
  • 状态转移:当采取动作时,智能体的状态可能会发生转移,从一个状态转到另一个状态,这个过程就成为状态转移。

二、贝尔曼公式 

2.1 回顾return

回顾之前的内容,说过Return可以反映策略的好坏:下面三个路径通过计算可知第一个轨迹是最好的,第二个最差,第三个可能好也可能差,有一定的概率

return_{1}=0+\gamma 1+\gamma ^{2}1+...=\gamma \left ( 1+\gamma+\gamma ^{2}+... \right )=\frac{\gamma }{1-\gamma }

return_{2}=-1+\gamma 1+\gamma ^{2}1+...=-1+\gamma \left ( 1+\gamma+\gamma ^{2}+... \right )=-1+\frac{\gamma }{1-\gamma }

return_{3}=0.5return_{1}+0.5return_{2}=0.5\left ( -1+\frac{\gamma }{1-\gamma } \right )+0.5\left ( \frac{\gamma }{1-\gamma } \right )

return_{3}=-0.5+\left ( \frac{\gamma }{1-\gamma } \right )

return_{1}>return_{3}>return_{2}

  • 第三个不是传统意义上的return,而是return的平均值  

2.2 计算return

方法1:通过定义,v_{i}表示从s_{i}出发得到的return

方法2:推导,状态之间的return存在依赖性 ,称为Bootstrapping。当前return依赖于其他的return

可以将上面的公式写成矩阵的形式:

也就是:特定确定性问题的贝尔曼公式

v=r+\gamma Pv

P矩阵就是策略(在这个例子里面,比较简单),通过这个公式可以求解v

以下的例子就可以直接写出来return的依赖性:

 2.3 state value

首先考虑单步的情况,状态S_{t}经过动作A_{t}会转移到状态S_{t+1},并得到奖励R_{t+1}

S_{t}\overset{A_{t}}{\rightarrow}R_{t+1},S_{t+1}

在这里面,动作、奖励、状态都是由概率决定的,具体而言:

  • 策略决定动作:也就是S_{t}\rightarrow A_{t}\pi \left ( A_{t}=a| S_{t}=s \right )决定 
  • 状态和动作决定奖励:也就是S_{t}, A_{t}\rightarrow R_{t+1}p \left ( R_{t+1}=r| S_{t}=s,A_{t}=a \right )决定 
  • 状态和动作决定状态转移:也就是S_{t}, A_{t}\rightarrow S_{t+1}p \left ( S_{t+1}=s'| S_{t}=s,A_{t}=a \right )决定

考虑多步的轨迹:

S_{t}\overset{A_{t}}{\rightarrow}R_{t+1},S_{t+1}\overset{A_{t+1}}{\rightarrow}R_{t+2},S_{t+2}\overset{A_{t+2}}{\rightarrow}R_{t+3},S_{t+3}...

discounted return是:

 G_{t}=R_{t+1}+\gamma R_{t+2}+\gamma ^{2}R_{t+3}+...

  • \gamma \in [0,1)是discounted rate

state value就是G_{t}的期望(期望值/平均值):也叫state-value function

v_{\pi }\left ( s \right )=E\left [ G_{t} |S_{t}=s\right ]

  • 它是s的函数。它是一个条件期望,条件是状态从s开始。它是s的函数。它是一个条件期望,条件是状态从s开始。
  • 它基于策略π。对于不同的策略,state value可能不同。
  • 它代表状态的“值”。如果state value越大,则策略越好,因为可以获得更大的累积奖励。

return和state value的区别

  • state value是从一个状态开始可以得到的所有可能的return的平均值。如果π(a|s), p(r|s, a), p(s'|s,a)都是确定性的,则state value与return值相同。

有如下三个策略:

 v_{\pi _{1}}>v_{\pi _{3}}>v_{\pi _{2}}

相较于2.1的return来说,v_{\pi _{1}}v_{\pi _{2}}是一致的,因为是确定性的,而对于v_{\pi _{3}}来说只能计算state  value,因为是不确定的。

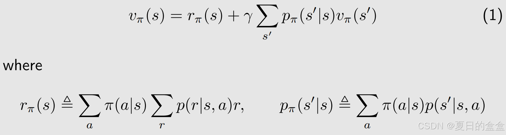
 2.4 贝尔曼公式(Bellman equation)

state value可以衡量策略的好坏,这是很重要的,但是要如何计算呢?使用到的就是贝尔曼公式。

Bellman equation:描述不同状态的state value之间的关系

考虑随机的轨迹:

S_{t}\overset{A_{t}}{\rightarrow}R_{t+1},S_{t+1}\overset{A_{t+1}}{\rightarrow}R_{t+2},S_{t+2}\overset{A_{t+2}}{\rightarrow}R_{t+3},S_{t+3}...

返回的G_{t}:

G_{t}=R_{t+1}+\gamma R_{t+2}+\gamma ^{2}R_{t+3}+...

G_{t}=R_{t+1}+\gamma(R_{t+2}+\gamma R_{t+3}+...)=R_{t+1}+\gamma G_{t+1}

  • R_{t+1}即时奖励
  • G_{t+1}未来奖励

state value定义为:

v_{\pi }\left ( s \right )=E\left [ G_{t} |S_{t}=s\right ]

v_{\pi }\left ( s \right )=E\left [ R_{t+1}+\gamma G_{t+1} |S_{t}=s\right ]

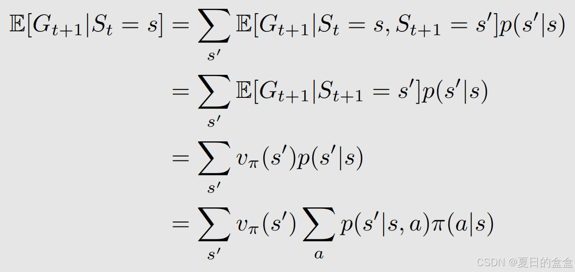
v_{\pi }\left ( s \right )=E\left [ R_{t+1}|S_{t}=s\right ]+\gamma E[G_{t+1} |S_{t}=s]

 将期望值拆开进行分析,对于第一个期望值E\left [ R_{t+1}|S_{t}=s\right ]:对于每一个状态,根据策略有不同的动作可以选择,第一个期望值也就是即时的奖励 

  • 选择动作a的概率是\pi \left ( a|s \right ),对应的state value是E\left [ R_{t+1}|S_{t}=s, A_{t}=a\right ]
  • 在s和a情况下,奖励为r的概率为p\left ( r|s,a \right ),故E\left [ R_{t+1}|S_{t}=s, A_{t}=a\right ]\sum_{r}p\left ( r|s,a \right )r

对于第二个期望值E\left [ G_{t+1}|S_{t}=s\right ]:从当前状态出发所得到的下一个时刻的return,也就是未来奖励的期望值:

  •  因为马尔可夫无记忆性,E\left ( G_{t+1}|S_{t}=s,S_{t+1}=s' \right )=E\left ( G_{t+1}|S_{t+1}=s' \right )

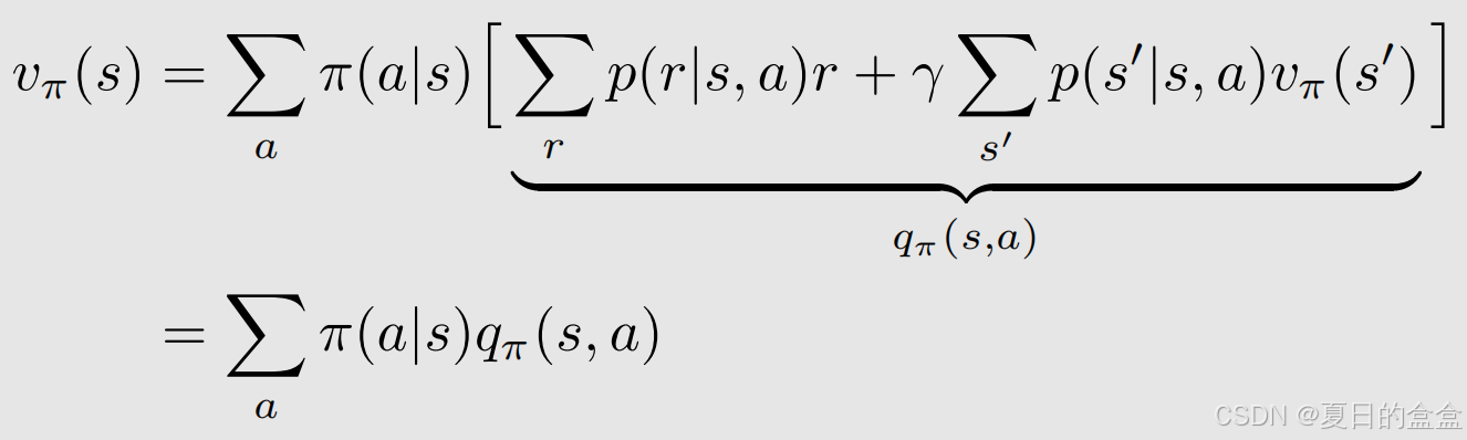
由上可得贝尔曼公式: 

  •  描述不同状态的state value之间的关系,也就是v_{\pi }\left ( s \right )v_{\pi }\left ( s' \right )的关系
  • 包含两项,第一项是即时奖励、第二项是未来奖励
  • 每个状态都满足这个公式
  • v_{\pi }\left ( s \right )v_{\pi }\left ( s' \right )是状态值,可以计算的,存在依赖性,也就是Bootstrapping
  • \pi \left ( a|s \right )是既定的策略,求解这个公式也称为策略评估
  • p\left ( r|s,a \right )p\left ( s'|s,a \right )表示动态模型,也分为model-based和model-free

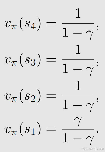
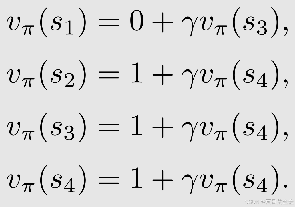
如下例子:

根据贝尔曼公式可知需要计算如下的参数:

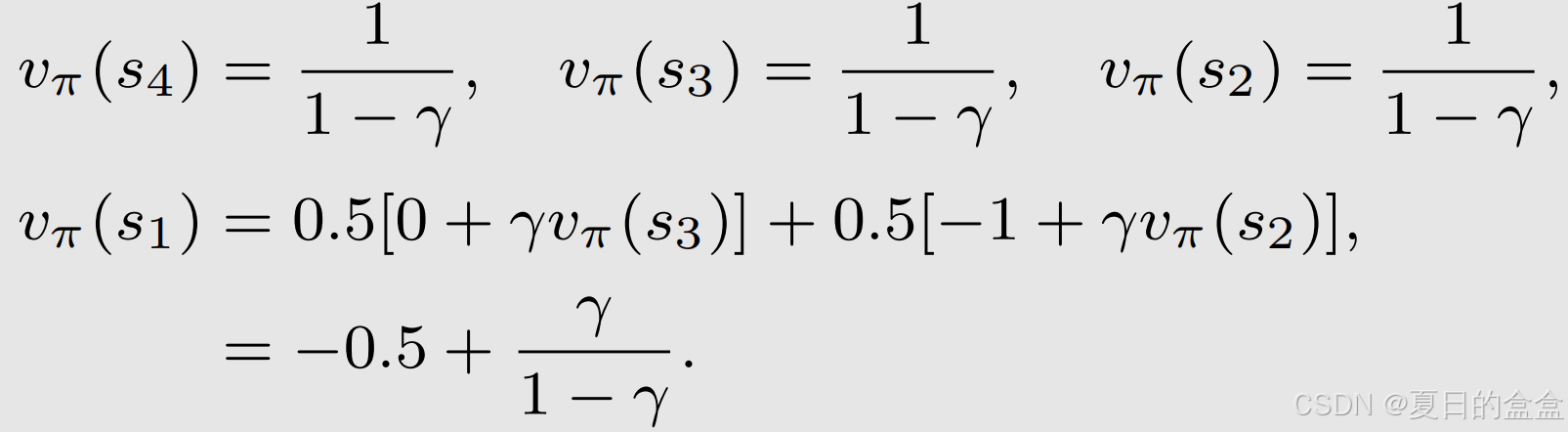
代入参数计算state value:

直观的理解,state value=即时奖励+\gamma未来奖励,故

同样的方法可以写出其他状态的state value:

求解:

如果\gamma =0.9:所以s_{2},s_{3},s_{4}的加载高于s_{1}(直观来说,s_{2},s_{3},s_{4}s_{1}离目标点近)

 计算出state value之后就可以改进这个策略

介绍更复杂的例子:

 计算每个状态的state  value:

求解state value:

如果\gamma =0.9

比较两个例子,这个例子state value小于前一个例子,故可以得出结论,前一个策略会比较好

 2.5 贝尔曼公式的矩阵形式

为什么要介绍矩阵形式:可以帮助求解贝尔曼公式。

重构贝尔曼公式:

  • r_{\pi }\left ( s \right )代表即时奖励的平均值, 

对于多个状态:i=1,2,...,n

 转换为矩阵形式

其中:

P_{\pi }是二元矩阵,状态转移矩阵(是概率值),r_{\pi }代表即时奖励,v_{\pi }需要求解的state value

 举例进行说明:总共四个状态 

 给出矩阵的环境和策略如下:

贝尔曼的矩阵表达式如下:

 例子2:不确定性策略

直接代入公式:

 2.6 求解state value

为什么要求解:策略评估:给定一个策略,找出相应的state value称为策略评估

  • 给出策略
  • 列出贝尔曼公式
  • 求解贝尔曼公式

方法 1:公式法

这种方法需要利用工具计算逆矩阵,比较麻烦

方法2:迭代法

迭代计算出\left \{ v_{0},v_{1},... \right \},可以证明出:

 举例进行说明:首先是两个比较好的策略,

通过计算,两个策略最后计算出来的state value值一致,说明不同的策略,state value可能一样

比较两个不好的策略:

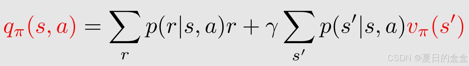
 2.7 action value

  • state value:智能体从一个状态开始可以得到的平均return。
  • action value:智能体从一个状态开始并采取一个动作所能得到的平均return。

为什么要关注action value:因为可以知道哪个动作 (action)更好

  •  是一个状态-动作对(s,a)函数
  • 依赖于策略\pi

state value和action value的关系:在一系列动作里面选择a的概率是\pi \left ( a|s \right ),值是E\left ( G_{t}|S_{t}=s,A_{t}=a \right )

即:已知action value和策略,可以计算出state value

 将这个公式和前面的贝尔曼公式相比:

 可以得到:即时奖励+未来奖励

 故计算出每个状态的state value以及已知的每个动作的概率值和奖励,即可计算出每个状态的每个动作的action value

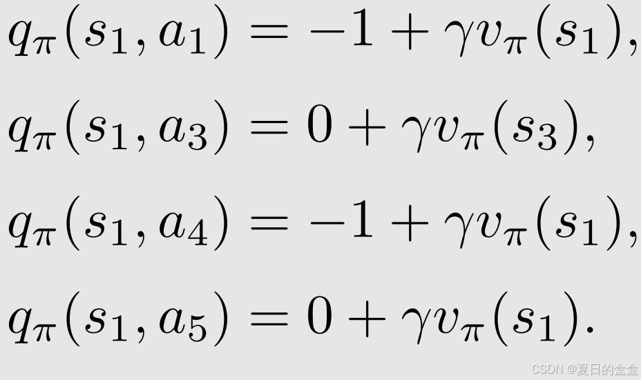
举例进行说明:

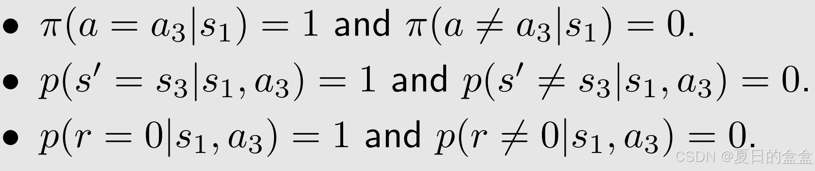
写出状态1的action value:只会有动作 a_{2}

 注意:其他动作的action value并不为0,只是当前的策略没有其他动作,但并不代表其他动作没有value,如果当前策略的当前动作不行,下一次就需要尝试其他动作

其他动作也需要进行计算:

  • 动作值很重要,因为我们关心采取哪个动作。
  • 我们可以先计算所有状态值,然后计算动作值。
  • 我们也可以直接计算有或没有模型的动作值。 

 2.8 总结

两个关键性概念

  • state value就是在s状态G_{t}的期望(期望值/平均值),可以用它衡量策略的好坏

  •  action value就是状态s下选择动作aG_{t}的期望(期望值/平均值,可以知道哪个动作 (action)更好

  • 它们之间的关系

 贝尔曼公式:描述不同状态的state value之间的关系

 贝尔曼公式的矩阵表达:可以求解state value

求解贝尔曼公式的两种方法

  • 公式法
  • 迭代法  

三、优化策略和贝尔曼最优公式

章节重点:

  • 核心概念:optimal state value and optimal policy
  • 基础工具:the Bellman optimality equation (BOE)

回顾之前的内容:

由上面的state value可以计算出action value:

 介绍state value的时候提到了,state value可以衡量策略的好坏,当策略不好的时候,我们可以怎么改进它?答案是使用action value来改进策略

当前策略是:

但当我们计算action value的时候,a_{2}的值不是最大的,而是a_{3}

 优化的方式是选择action value最大的动作,也就是a_{3}

新的策略可以定义如下

 

持续更新……

参考:B站up主第1课-基本概念(State,action,policy等)_哔哩哔哩_bilibili,听视频时做的笔记。

http://www.dtcms.com/a/18518.html

相关文章:

  • 【Java】一文了解spring的三级缓存
  • 如何使用智能化RFID管控系统,对涉密物品进行安全有效的管理?
  • 在香橙派5 NPU上使用Yolov5
  • Ollama+Deepseek+chatbox快速部署属于自己的大模型
  • SSM课设-学生选课系统
  • 格式工厂 FormatFactory v5.18.便携版 ——多功能媒体文件转换工具
  • 玄机——第一章 应急响应-Linux入侵排查
  • 在 Go 中实现事件溯源:构建高效且可扩展的系统
  • Jupyter lab 无法导出格式 Save and Export Notebook As无法展开
  • CSS实现单行、多行文本溢出显示省略号(…)
  • JVM 类加载机制
  • QT无弹窗运行和只允许运行一个exe
  • 问卷数据分析|SPSS实操之独立样本T检验
  • Reached heap limit Allocation failed - JavaScript heap out of memory
  • git 记录
  • 用大模型学大模型03-数学基础 概率论 条件概率 全概率公式 贝叶斯定理
  • 9种慢慢被淘汰的编程语言...
  • 【Prometheus】prometheus黑盒监控balckbox全面解析与应用实战
  • easyexcel快速使用
  • H5接入支付宝手机网站支付并实现
  • 百度宣布:免费!
  • Oracle EBS Update SYSTEM Password - 11i R12
  • PostgreSQL 数据类型
  • uniapp canvas 生成海报并保存到相册
  • 【MySQL — 数据库基础】深入解析 MySQL 的联合查询
  • jenkins war Windows安装
  • (萌新入门)如何从起步阶段开始学习STM32 ——2 我应该学习HAL库还是寄存器库?
  • DeepSeek 模型部署与使用技术评测(基于阿里云零门槛解决方案)
  • 创建一个新的 React Native 项目
  • Unity Muse AIGC工具