深度学习基础知识总结(二):激活函数(Activation Function)详解
在上一篇文章中,我们详细讲解了卷积(Convolution)的基本原理,知道了它如何从图像中提取出边缘、纹理、形状等特征。
但如果神经网络中只有卷积层和线性运算,那无论堆叠多少层,它本质上仍然是一个“线性模型”。
这样的网络——只能画直线,不能画曲线。
而现实世界是非线性的:
猫的图像和狗的图像差别不是像素线性组合能表达的;
声音、文本、视频等复杂数据中存在大量非线性特征;
深度学习的强大之处,就在于它能自动捕捉这些非线性模式。
所以,我们需要一个“让网络弯起来”的工具——
这就是 激活函数(Activation Function)。
一、为什么要用激活函数?
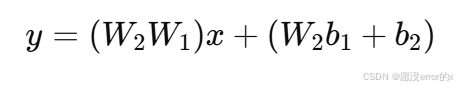
我们先看一个没有激活函数的网络:

如果我们展开,会发现这是一个线性变换:

换句话说,两个线性层叠加起来依旧是一个线性函数。
那三层、十层、甚至一百层呢?
——没错,还是线性函数。
没有激活函数的神经网络 = 再深也学不会复杂的函数。
激活函数的引入,使网络具备“非线性拟合能力”,能学习图像、语言、语音等复杂关系。
它让神经网络从“直线大脑”进化成“曲线大脑”。
二、激活函数的作用总结
激活函数主要起以下三个作用:
引入非线性特征:让网络能拟合复杂的函数关系。
限制输出范围:防止数值爆炸,提高稳定性。
提供梯度:便于反向传播(求导更新参数)。
在神经网络中,每个神经元的计算可写为:

其中 f(⋅) 就是激活函数。
三、常见激活函数详解
1️⃣ Sigmoid 函数
公式:

特点:
输出范围:(0,1)(0, 1)(0,1)
形状:S 形曲线,输入越大输出越接近 1,输入越小输出越接近 0。
常用于二分类问题的输出层。
优点:
具有概率意义:输出可以被解释为“属于正类的概率”。
平滑且单调。
缺点:
当输入过大或过小时,梯度接近 0,容易出现梯度消失。
输出非零均值,训练收敛慢。
计算较复杂(需要指数运算)。
📊 直观理解:

Sigmoid 就像一个“压缩器”,把任意数值压到 0~1 之间。
但压得太狠了,信息会“卡住”,导致网络更新慢。
2️⃣ Tanh(双曲正切函数)
公式:

特点:
输出范围:(−1,1)(-1, 1)(−1,1)
零均值输出,收敛速度比 Sigmoid 更快。
优点:
能保留输入的符号信息(正负);
相对 Sigmoid,不会导致神经元全部输出正值。
缺点:
同样存在梯度消失问题(在 ∣x∣>2|x| > 2∣x∣>2 区域梯度趋近 0)。
📈 直觉类比:

Tanh 就像 Sigmoid 的“升级版”——它让输出可以为负数,信息分布更平衡。
在早期 RNN 网络(如 LSTM)中非常常见。
3️⃣ ReLU(Rectified Linear Unit)
公式:

特点:
当 x>0:输出等于输入;
当 x≤0:输出为 0。
输出范围:[0, +∞)
优点:
计算简单;
不存在指数运算;
梯度恒为 1,不会梯度消失(在正区间);
能加速收敛,使网络更稀疏(部分神经元输出 0)。
缺点:
当输入为负时梯度为 0,神经元可能“死掉”(即永远输出 0)。
📘 形象理解:

ReLU 就像一个“单向阀门”——只让正信号通过,负信号一律屏蔽。
这既加快了计算,又保留了有意义的激活。
💡 应用场景:
目前几乎所有 CNN、Transformer 的隐藏层都默认使用 ReLU。
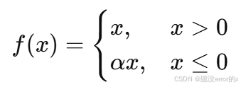
4️⃣ Leaky ReLU / Parametric ReLU
公式:

其中 α 通常取 0.01,或者作为可学习参数(PReLU)。
特点:
改进 ReLU 的“神经元死亡”问题;
让负区间也有微弱梯度,不完全丢弃信息。
使用建议:
当发现训练中大量神经元输出恒为 0 时,试试 Leaky ReLU;
PReLU 在轻量化网络中(如 MobileNet)常见。

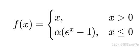
5️⃣ ELU / SELU(指数线性单元)
ELU 公式:

特点:
负区间平滑过渡,输出有负值;
输出均值更接近 0;
训练稳定性较好。

SELU 是在 ELU 基础上添加自归一化特性,用于特定网络结构(Self-Normalizing NN)。
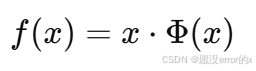
6️⃣ Swish / GELU(现代激活函数)
Swish(Google 提出):

GELU(Gaussian Error Linear Unit):

(Φ(x) 为高斯分布的累积分布函数)
特点:
平滑且可微;
在 Transformer、BERT 等大型模型中普遍使用;
表现往往优于 ReLU。

📊 理解:
Swish / GELU 可以看作是“带柔性阀门的 ReLU”——比 ReLU 更细腻,梯度流动更平滑。
四、激活函数之间的对比
| 激活函数 | 输出范围 | 零均值 | 是否有梯度消失 | 是否稀疏 | 常见用途 |
|---|---|---|---|---|---|
| Sigmoid | (0, 1) | 否 | 是 | 否 | 二分类输出层 |
| Tanh | (-1, 1) | 是 | 是 | 否 | RNN 隐藏层 |
| ReLU | [0, ∞) | 否 | 否(正区间) | 是 | CNN 隐藏层 |
| Leaky ReLU | (-∞, ∞) | 是 | 否 | 稍弱 | 改进 ReLU |
| ELU | (-α, ∞) | 近似 | 否 | 否 | 深层网络 |
| Swish / GELU | (-∞, ∞) | 是 | 否 | 否 | Transformer / BERT 等 |
五、如何选择合适的激活函数?
✅ 经验总结:
| 场景 | 推荐激活函数 |
|---|---|
| 卷积神经网络(CNN) | ReLU / Leaky ReLU |
| 深层网络(梯度稳定) | ELU / GELU |
| RNN / LSTM 网络 | Tanh / Sigmoid |
| 二分类输出层 | Sigmoid |
| 多分类输出层 | Softmax |
| 大模型(Transformer 等) | GELU / Swish |
六、激活函数的可视化与代码实践
我们可以用 Python 简单绘制几种激活函数的曲线来直观感受差异 👇
import torch
import torch.nn.functional as F
import matplotlib.pyplot as pltx = torch.linspace(-5, 5, 200)activations = {"Sigmoid": torch.sigmoid(x),"Tanh": torch.tanh(x),"ReLU": F.relu(x),"Leaky ReLU": F.leaky_relu(x, 0.1),"Swish": x * torch.sigmoid(x)
}plt.figure(figsize=(10,6))
for name, y in activations.items():plt.plot(x, y, label=name)
plt.legend()
plt.title("常见激活函数曲线对比")
plt.xlabel("x")
plt.ylabel("f(x)")
plt.grid(True)
plt.show()
运行后你会看到:
Sigmoid、Tanh 在两端趋于饱和;
ReLU 线性且稀疏;
Swish/GELU 更平滑。
七、总结
| 模块 | 作用 |
|---|---|
| 卷积层(Convolution) | 提取局部特征 |
| 激活函数(Activation) | 引入非线性,增加表达能力 |
| 池化层(Pooling) | 降维,增强鲁棒性 |
激活函数虽然只是网络中的“一行代码”,
却决定了整个网络是否能“思考”。
一个恰当的激活函数,往往能显著提升模型的训练效率和性能。
📚 下一篇预告:
深度学习基础知识总结(三):池化层(Pooling)与特征下采样
我将深入解析最大池化、平均池化的区别,以及它们如何让模型更稳、更强。有需要的可以点个关注哦!
