刷题leetcode——链表2
19.删除链表的倒数第N个节点
力扣题目链接(opens new window)
给你一个链表,删除链表的倒数第 n 个结点,并且返回链表的头结点。
进阶:你能尝试使用一趟扫描实现吗?
示例 1:

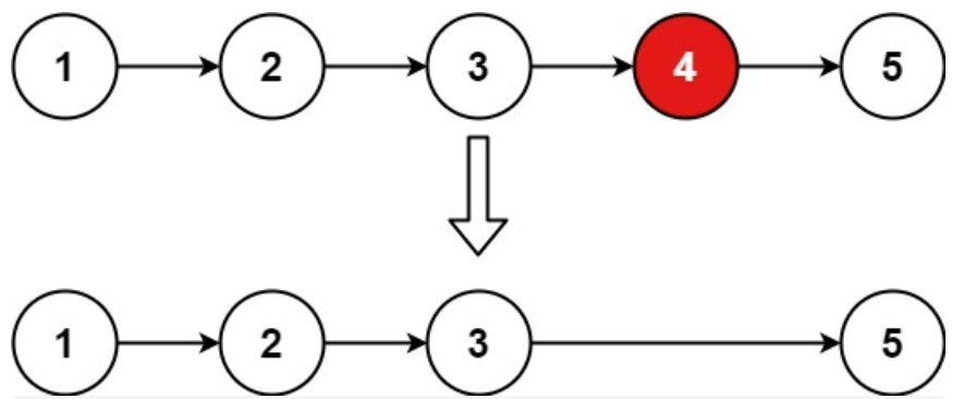
输入:head = [1,2,3,4,5], n = 2 输出:[1,2,3,5]
示例 2:
输入:head = [1], n = 1 输出:[]
示例 3:
输入:head = [1,2], n = 1 输出:[1]
#思路
双指针的经典应用,如果要删除倒数第n个节点,让fast移动n步,然后让fast和slow同时移动,直到fast指向链表末尾。删掉slow所指向的节点就可以了。
思路是这样的,但要注意一些细节。
分为如下几步:
-
首先这里我推荐大家使用虚拟头结点,这样方便处理删除实际头结点的逻辑,如果虚拟头结点不清楚,可以看这篇: 链表:听说用虚拟头节点会方便很多?(opens new window)
-
定义fast指针和slow指针,初始值为虚拟头结点,如图:

-
fast首先走n + 1步 ,为什么是n+1呢,因为只有这样同时移动的时候slow才能指向删除节点的上一个节点(方便做删除操作),如图:

-
fast和slow同时移动,直到fast指向末尾,如题:
//图片中有错别词:应该将“只到”改为“直到” -
删除slow指向的下一个节点,如图:

此时不难写出如下C++代码:
class Solution {
public:ListNode* removeNthFromEnd(ListNode* head, int n) {ListNode* dummyHead = new ListNode(0);dummyHead->next = head;ListNode* slow = dummyHead;ListNode* fast = dummyHead;while(n-- && fast != NULL) {fast = fast->next;}fast = fast->next; // fast再提前走一步,因为需要让slow指向删除节点的上一个节点while (fast != NULL) {fast = fast->next;slow = slow->next;}slow->next = slow->next->next; // ListNode *tmp = slow->next; C++释放内存的逻辑// slow->next = tmp->next;// delete tmp;return dummyHead->next;}
};
- 时间复杂度: O(n)
- 空间复杂度: O(1)
#其他语言版本
#Java:
class Solution {public ListNode removeNthFromEnd(ListNode head, int n) {//新建一个虚拟头节点指向headListNode dummyNode = new ListNode(0);dummyNode.next = head;//快慢指针指向虚拟头节点ListNode fastIndex = dummyNode;ListNode slowIndex = dummyNode;// 只要快慢指针相差 n 个结点即可for (int i = 0; i <= n; i++) {fastIndex = fastIndex.next;}while (fastIndex != null) {fastIndex = fastIndex.next;slowIndex = slowIndex.next;}// 此时 slowIndex 的位置就是待删除元素的前一个位置。// 具体情况可自己画一个链表长度为 3 的图来模拟代码来理解// 检查 slowIndex.next 是否为 null,以避免空指针异常if (slowIndex.next != null) {slowIndex.next = slowIndex.next.next;}return dummyNode.next;}
}
class Solution {public ListNode removeNthFromEnd(ListNode head, int n) {// 创建一个新的哑节点,指向原链表头 ListNode s = new ListNode(-1, head);// 递归调用remove方法,从哑节点开始进行删除操作 remove(s, n);// 返回新链表的头(去掉可能的哑节点) return s.next;}public int remove(ListNode p, int n) {// 递归结束条件:如果当前节点为空,返回0 if (p == null) {return 0;}// 递归深入到下一个节点 int net = remove(p.next, n);// 如果当前节点是倒数第n个节点,进行删除操作 if (net == n) {p.next = p.next.next; }// 返回当前节点的总深度 return net + 1;}
}
面试题 02.07. 链表相交
同:160.链表相交
力扣题目链接(opens new window)
给你两个单链表的头节点 headA 和 headB ,请你找出并返回两个单链表相交的起始节点。如果两个链表没有交点,返回 null 。
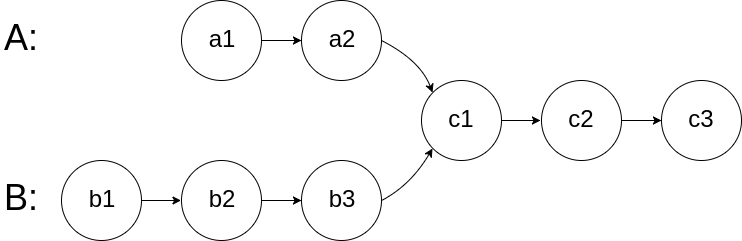
图示两个链表在节点 c1 开始相交:

题目数据 保证 整个链式结构中不存在环。
注意,函数返回结果后,链表必须 保持其原始结构 。
示例 1:

示例 2:

示例 3:

#思路
简单来说,就是求两个链表交点节点的指针。 这里同学们要注意,交点不是数值相等,而是指针相等。
为了方便举例,假设节点元素数值相等,则节点指针相等。
看如下两个链表,目前curA指向链表A的头结点,curB指向链表B的头结点:

我们求出两个链表的长度,并求出两个链表长度的差值,然后让curA移动到,和curB 末尾对齐的位置,如图:

此时我们就可以比较curA和curB是否相同,如果不相同,同时向后移动curA和curB,如果遇到curA == curB,则找到交点。
否则循环退出返回空指针。
C++代码如下:
class Solution {
public:ListNode *getIntersectionNode(ListNode *headA, ListNode *headB) {ListNode* curA = headA;ListNode* curB = headB;int lenA = 0, lenB = 0;while (curA != NULL) { // 求链表A的长度lenA++;curA = curA->next;}while (curB != NULL) { // 求链表B的长度lenB++;curB = curB->next;}curA = headA;curB = headB;// 让curA为最长链表的头,lenA为其长度if (lenB > lenA) {swap (lenA, lenB);swap (curA, curB);}// 求长度差int gap = lenA - lenB;// 让curA和curB在同一起点上(末尾位置对齐)while (gap--) {curA = curA->next;}// 遍历curA 和 curB,遇到相同则直接返回while (curA != NULL) {if (curA == curB) {return curA;}curA = curA->next;curB = curB->next;}return NULL;}
};
- 时间复杂度:O(n + m)
- 空间复杂度:O(1)
#其他语言版本
#Java:
(版本一)先行移动长链表实现同步移动
public class Solution {public ListNode getIntersectionNode(ListNode headA, ListNode headB) {ListNode curA = headA;ListNode curB = headB;int lenA = 0, lenB = 0;while (curA != null) { // 求链表A的长度lenA++;curA = curA.next;}while (curB != null) { // 求链表B的长度lenB++;curB = curB.next;}curA = headA;curB = headB;// 让curA为最长链表的头,lenA为其长度if (lenB > lenA) {//1. swap (lenA, lenB);int tmpLen = lenA;lenA = lenB;lenB = tmpLen;//2. swap (curA, curB);ListNode tmpNode = curA;curA = curB;curB = tmpNode;}// 求长度差int gap = lenA - lenB;// 让curA和curB在同一起点上(末尾位置对齐)while (gap-- > 0) {curA = curA.next;}// 遍历curA 和 curB,遇到相同则直接返回while (curA != null) {if (curA == curB) {return curA;}curA = curA.next;curB = curB.next;}return null;}}(版本二) 合并链表实现同步移动
public class Solution {public ListNode getIntersectionNode(ListNode headA, ListNode headB) {// p1 指向 A 链表头结点,p2 指向 B 链表头结点ListNode p1 = headA, p2 = headB;while (p1 != p2) {// p1 走一步,如果走到 A 链表末尾,转到 B 链表if (p1 == null) p1 = headB;else p1 = p1.next;// p2 走一步,如果走到 B 链表末尾,转到 A 链表if (p2 == null) p2 = headA;else p2 = p2.next;}return p1;}
}
142.环形链表II
力扣题目链接(opens new window)
题意: 给定一个链表,返回链表开始入环的第一个节点。 如果链表无环,则返回 null。
为了表示给定链表中的环,使用整数 pos 来表示链表尾连接到链表中的位置(索引从 0 开始)。 如果 pos 是 -1,则在该链表中没有环。
说明:不允许修改给定的链表。

#算法公开课
#思路
这道题目,不仅考察对链表的操作,而且还需要一些数学运算。
主要考察两知识点:
- 判断链表是否环
- 如果有环,如何找到这个环的入口
#判断链表是否有环
可以使用快慢指针法,分别定义 fast 和 slow 指针,从头结点出发,fast指针每次移动两个节点,slow指针每次移动一个节点,如果 fast 和 slow指针在途中相遇 ,说明这个链表有环。
为什么fast 走两个节点,slow走一个节点,有环的话,一定会在环内相遇呢,而不是永远的错开呢
首先第一点:fast指针一定先进入环中,如果fast指针和slow指针相遇的话,一定是在环中相遇,这是毋庸置疑的。
那么来看一下,为什么fast指针和slow指针一定会相遇呢?
可以画一个环,然后让 fast指针在任意一个节点开始追赶slow指针。
会发现最终都是这种情况, 如下图:

fast和slow各自再走一步, fast和slow就相遇了
这是因为fast是走两步,slow是走一步,其实相对于slow来说,fast是一个节点一个节点的靠近slow的,所以fast一定可以和slow重合。
动画如下:

#如果有环,如何找到这个环的入口
此时已经可以判断链表是否有环了,那么接下来要找这个环的入口了。
假设从头结点到环形入口节点 的节点数为x。 环形入口节点到 fast指针与slow指针相遇节点 节点数为y。 从相遇节点 再到环形入口节点节点数为 z。 如图所示:

那么相遇时: slow指针走过的节点数为: x + y, fast指针走过的节点数:x + y + n (y + z),n为fast指针在环内走了n圈才遇到slow指针, (y+z)为 一圈内节点的个数A。
因为fast指针是一步走两个节点,slow指针一步走一个节点, 所以 fast指针走过的节点数 = slow指针走过的节点数 * 2:
(x + y) * 2 = x + y + n (y + z)
两边消掉一个(x+y): x + y = n (y + z)
因为要找环形的入口,那么要求的是x,因为x表示 头结点到 环形入口节点的的距离。
所以要求x ,将x单独放在左面:x = n (y + z) - y ,
再从n(y+z)中提出一个 (y+z)来,整理公式之后为如下公式:x = (n - 1) (y + z) + z 注意这里n一定是大于等于1的,因为 fast指针至少要多走一圈才能相遇slow指针。
这个公式说明什么呢?
先拿n为1的情况来举例,意味着fast指针在环形里转了一圈之后,就遇到了 slow指针了。
当 n为1的时候,公式就化解为 x = z,
这就意味着,从头结点出发一个指针,从相遇节点 也出发一个指针,这两个指针每次只走一个节点, 那么当这两个指针相遇的时候就是 环形入口的节点。
也就是在相遇节点处,定义一个指针index1,在头结点处定一个指针index2。
让index1和index2同时移动,每次移动一个节点, 那么他们相遇的地方就是 环形入口的节点。
动画如下:

那么 n如果大于1是什么情况呢,就是fast指针在环形转n圈之后才遇到 slow指针。
其实这种情况和n为1的时候 效果是一样的,一样可以通过这个方法找到 环形的入口节点,只不过,index1 指针在环里 多转了(n-1)圈,然后再遇到index2,相遇点依然是环形的入口节点。
代码如下:
/*** Definition for singly-linked list.* struct ListNode {* int val;* ListNode *next;* ListNode(int x) : val(x), next(NULL) {}* };*/
class Solution {
public:ListNode *detectCycle(ListNode *head) {ListNode* fast = head;ListNode* slow = head;while(fast != NULL && fast->next != NULL) {slow = slow->next;fast = fast->next->next;// 快慢指针相遇,此时从head 和 相遇点,同时查找直至相遇if (slow == fast) {ListNode* index1 = fast;ListNode* index2 = head;while (index1 != index2) {index1 = index1->next;index2 = index2->next;}return index2; // 返回环的入口}}return NULL;}
};
- 时间复杂度: O(n),快慢指针相遇前,指针走的次数小于链表长度,快慢指针相遇后,两个index指针走的次数也小于链表长度,总体为走的次数小于 2n
- 空间复杂度: O(1)
#补充
在推理过程中,大家可能有一个疑问就是:为什么第一次在环中相遇,slow的 步数 是 x+y 而不是 x + 若干环的长度 + y 呢?
即文章链表:环找到了,那入口呢? (opens new window)中如下的地方:

首先slow进环的时候,fast一定是先进环来了。
如果slow进环入口,fast也在环入口,那么把这个环展开成直线,就是如下图的样子:

可以看出如果slow 和 fast同时在环入口开始走,一定会在环入口3相遇,slow走了一圈,fast走了两圈。
重点来了,slow进环的时候,fast一定是在环的任意一个位置,如图:

那么fast指针走到环入口3的时候,已经走了k + n 个节点,slow相应的应该走了(k + n) / 2 个节点。
因为k是小于n的(图中可以看出),所以(k + n) / 2 一定小于n。
也就是说slow一定没有走到环入口3,而fast已经到环入口3了。
这说明什么呢?
在slow开始走的那一环已经和fast相遇了。
那有同学又说了,为什么fast不能跳过去呢? 在刚刚已经说过一次了,fast相对于slow是一次移动一个节点,所以不可能跳过去。
好了,这次把为什么第一次在环中相遇,slow的 步数 是 x+y 而不是 x + 若干环的长度 + y ,用数学推理了一下,算是对链表:环找到了,那入口呢? (opens new window)的补充。
#总结
这次可以说把环形链表这道题目的各个细节,完完整整的证明了一遍,说这是全网最详细讲解不为过吧。
#其他语言版本
#Java:
public class Solution {public ListNode detectCycle(ListNode head) {ListNode slow = head;ListNode fast = head;while (fast != null && fast.next != null) {slow = slow.next;fast = fast.next.next;if (slow == fast) {// 有环ListNode index1 = fast;ListNode index2 = head;// 两个指针,从头结点和相遇结点,各走一步,直到相遇,相遇点即为环入口while (index1 != index2) {index1 = index1.next;index2 = index2.next;}return index1;}}return null;}
}
链表总结篇
#链表的理论基础
在这篇文章关于链表,你该了解这些! (opens new window)中,介绍了如下几点:
- 链表的种类主要为:单链表,双链表,循环链表
- 链表的存储方式:链表的节点在内存中是分散存储的,通过指针连在一起。
- 链表是如何进行增删改查的。
- 数组和链表在不同场景下的性能分析。
可以说把链表基础的知识都概括了,但又不像教科书那样的繁琐。
#链表经典题目
#虚拟头结点
在链表:听说用虚拟头节点会方便很多? (opens new window)中,我们讲解了链表操作中一个非常重要的技巧:虚拟头节点。
链表的一大问题就是操作当前节点必须要找前一个节点才能操作。这就造成了,头结点的尴尬,因为头结点没有前一个节点了。
每次对应头结点的情况都要单独处理,所以使用虚拟头结点的技巧,就可以解决这个问题。
在链表:听说用虚拟头节点会方便很多? (opens new window)中,我给出了用虚拟头结点和没用虚拟头结点的代码,大家对比一下就会发现,使用虚拟头结点的好处。
#链表的基本操作
在链表:一道题目考察了常见的五个操作! (opens new window)中,我们通过设计链表把链表常见的五个操作练习了一遍。
这是练习链表基础操作的非常好的一道题目,考察了:
- 获取链表第index个节点的数值
- 在链表的最前面插入一个节点
- 在链表的最后面插入一个节点
- 在链表第index个节点前面插入一个节点
- 删除链表的第index个节点的数值
可以说把这道题目做了,链表基本操作就OK了,再也不用担心链表增删改查整不明白了。
这里我依然使用了虚拟头结点的技巧,大家复习的时候,可以去看一下代码。
#反转链表
在链表:听说过两天反转链表又写不出来了? (opens new window)中,讲解了如何反转链表。
因为反转链表的代码相对简单,有的同学可能直接背下来了,但一写还是容易出问题。
反转链表是面试中高频题目,很考察面试者对链表操作的熟练程度。
我在文章 (opens new window)中,给出了两种反转的方式,迭代法和递归法。
建议大家先学透迭代法,然后再看递归法,因为递归法比较绕,如果迭代还写不明白,递归基本也写不明白了。
可以先通过迭代法,彻底弄清楚链表反转的过程!
#删除倒数第N个节点
在链表:删除链表倒数第N个节点,怎么删? (opens new window)中我们结合虚拟头结点 和 双指针法来移除链表倒数第N个节点。
#链表相交
链表:链表相交 (opens new window)使用双指针来找到两个链表的交点(引用完全相同,即:内存地址完全相同的交点)
#环形链表
在链表:环找到了,那入口呢? (opens new window)中,讲解了在链表如何找环,以及如何找环的入口位置。
这道题目可以说是链表的比较难的题目了。 但代码却十分简洁,主要在于一些数学证明。
#总结

