【动手学深度学习】8.1. 序列模型
目录
- 8. 循环神经网络(RNN)
- 8.1. 序列模型
- 1)统计工具
- (1)自回归模型
- (2)马尔可夫模型
- (3)因果关系
- 2)训练
- 3)预测
- 4)小结
.
8. 循环神经网络(RNN)
目前为止,我们已学习了处理表格数据和图像数据的模型。其中,卷积神经网络(CNN)通过捕捉局部空间结构,成功建模图像中像素的相对位置关系。然而,许多现实数据具有序列结构,如文本、语音、视频帧或时间序列,其元素顺序至关重要——打乱顺序将破坏语义或时序逻辑。
更重要的是,这类数据通常不满足独立同分布(i.i.d.)假设。相反,当前时刻的输出往往依赖于历史信息。例如:
-
文本中的下一个词取决于前面的上下文;
-
股价变化受过去走势影响;
-
用户行为序列中蕴含动态偏好。
为有效建模此类序列数据,我们需要能够记忆历史信息并随时间动态处理输入的模型。这正是循环神经网络(Recurrent Neural Network, RNN) 的设计初衷。
RNN通过引入隐藏状态(hidden state) 作为时间上的记忆单元,将前一时刻的状态与当前输入结合,以生成当前输出和新的状态。这种“循环”机制使网络具备了处理变长序列和捕捉长期依赖的潜力。
-
序列数据建模基础:回顾序列数据的特点与挑战;
-
文本预处理技术:包括分词、构建词汇表、序列编码等;
本章将围绕以下内容展开:
-
语言模型原理:介绍如何建模下一个词的概率,作为RNN的典型应用;
-
RNN结构设计:从循环机制到具体前向传播过程;
-
训练难点分析:探讨RNN中的梯度计算(如通过时间的反向传播,BPTT)及其面临的梯度消失/爆炸问题。
简言之,如果说CNN是处理空间结构的利器,那么RNN则是建模时间或序列结构的基础性网络架构。本章将为后续更强大的序列模型(如LSTM、GRU和Transformer)奠定理论与实践基础。
.
8.1. 序列模型
电影评分并非固定不变,而是随时间动态演变。心理学揭示了多种影响因素:
-
锚定(anchoring)效应:评分受他人意见或外部事件影响。例如,奥斯卡获奖后,电影评分显著上升,即使影片本身未变。这种效应可持续数月,使评分提高半点以上(Wu et al., 2017)。
-
享乐适应(hedonic adaptation):观众在经历高质量电影后,会迅速调整期望,导致对普通影片评价降低。
-
季节性(seasonality):观影偏好具有时间规律,如八月很少有人观看圣诞题材电影。
-
社会争议:导演或演员的不当行为可能导致电影口碑下滑。
-
“烂片”文化:某些电影因极度糟糕而走红,如《Plan 9 from Outer Space》和《Troll2》,成为小众经典。
因此,引入时间动力学(temporal dynamics) 可提升推荐系统准确性(Koren, 2009)。序列数据的重要性不仅限于电影评分,还广泛存在于其他场景:
-
用户行为模式:学生放学后社交媒体使用激增,股市软件在交易时段更活跃。
-
预测挑战:预测明日股价(外推法, extrapolation)比估计历史数据(内插法, interpolation)更难。
-
连续内容:音乐、语音、文本和视频的意义依赖顺序。例如,“狗咬人”与“人咬狗”字相同,但语义和冲击力截然不同。
-
地震序列:大地震后常引发时空密集的余震(aftershocks),其强度和频率显著高于随机事件。
-
社交互动:微博上的争论和辩论也呈现时间连续性和动态演化。
综上所述,序列结构和时间演化对建模用户行为、自然现象和社会动态至关重要。
.
1)统计工具
处理序列数据需要统计工具和新的深度神经网络架构。 为了简单起见,我们以下图所示的股票价格(富时100指数)为例。
图8.1.1 近30年的富时100指数

其中,用 x t x_t xt 表示价格,即在时间步(time step) t ∈ Z + t \in \mathbb{Z}^+ t∈Z+ 时,观察到的价格 x t x_t xt。请注意, t t t 对于本文中的序列通常是离散的,并在整数或其子集上变化。假设一个交易员想在 t t t 日的股市中表现良好,于是通过以下途径预测 x t x_t xt:
x t ∼ P ( x t ∣ x t − 1 , … , x 1 ) . (8.1.1) x_t \sim P(x_t \mid x_{t-1}, \ldots, x_1). \tag{8.1.1} xt∼P(xt∣xt−1,…,x1).(8.1.1)
公式本质:
在时间序列中,当前值 x t x_t xt 不是独立的,而是由过去所有值共同决定的,其分布为条件概率 P ( x t ∣ x t − 1 , … , x 1 ) P(x_t∣x_{t−1},…,x_1) P(xt∣xt−1,…,x1) 。
.
(1)自回归模型
在序列预测中,直接估计 P ( x t ∣ x t − 1 , … , x 1 ) P(x_t \mid x_{t-1}, \ldots, x_1) P(xt∣xt−1,…,x1) 面临主要问题:输入数据的数量,随t增加而增加。为了高效估计条件概率,平衡计算复杂度与预测准确性。主要解决策略有两种:
a.自回归模型(Autoregressive Models)
-
仅使用最近 τ \tau τ 个观测值: x t − 1 , … , x t − τ x_{t-1}, \ldots, x_{t-\tau} xt−1,…,xt−τ
-
优势:参数数量固定,适合深度网络训练
-
本质:对自身历史数据进行回归
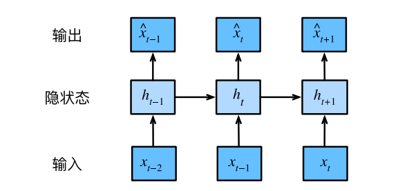
b.隐变量自回归模型(Latent Autoregressive Models)
-
维护隐藏状态 h t h_t ht 总结历史信息
-
通过两个公式工作:
-
预测: x ^ t = P ( x t ∣ h t ) \hat{x}_t = P(x_t \mid h_t) x^t=P(xt∣ht),(即,预测值 x ^ t \hat{x}_t x^t = 在给定隐状态 h t h_t ht 的条件下,观测值 x t x_t xt 的概率分布)
-
状态更新: h t = g ( h t − 1 , x t − 1 ) h_t = g(h_{t-1}, x_{t-1}) ht=g(ht−1,xt−1)
-
-
特点: h t h_t ht 为隐变量,不直接观测
图8.1.2 隐变量自回归模型

c.如何生成训练数据?
-
背景:时间序列模型(比如预测股票价格、天气)需要训练数据,但未来数据还没发生,怎么训练?
-
关键矛盾:*“不能用未来的数据训练模型,但模型又要预测未来。”*→ 解决方案:用历史数据模拟“预测未来”的过程。
关键假设:序列规律不变(平稳性)
-
概念:*“序列本身的动力学不会改变… 统计学家称不变的动力学为静止的(stationary)”*→ 通俗解释:假设“过去和未来的规律是相同的”。
-
例如:预测明天的天气时,假设天气变化的规律(比如“雨天后常有晴天”)和过去一样。
-
如果规律突然变了(比如新发明了人工降雨技术),预测就失效了。
专业术语:
-
动力学(Dynamics) = 数据变化的规律(比如趋势、周期性)。
-
平稳性(Stationary) = 规律不变(不是“静止”,而是“稳定”)。
如何分解序列概率?
-
公式 (8.1.2):
P ( x 1 , … , x T ) = ∏ t = 1 T P ( x t ∣ x t − 1 , … , x 1 ) P(x_1, \dots, x_T) = \prod_{t=1}^T P(x_t \mid x_{t-1}, \dots, x_1) P(x1,…,xT)=t=1∏TP(xt∣xt−1,…,x1) -
为什么这样分解?
-
直接预测整个序列 (P(x_1,…,x_T)) 计算量爆炸(比如预测30天天气,可能性有 (2^{30}) 种)。
-
拆成条件概率后:每一步只需关注“最近历史”,计算量大幅降低。
-
离散 vs. 连续数据的处理差异
-
概念:“对于离散的对象(如单词),需要使用分类器而不是回归模型”
-
关键点:
-
无论是连续还是离散数据,概率分解公式 P ( x t ∣ 历史 ) P(x_t \mid \text{历史}) P(xt∣历史) 都适用。
-
区别仅在预测方式:
-
连续数据 → 用回归模型输出具体数值(如预测明天温度 26℃)
-
离散数据 → 用分类模型输出概率分布(如预测明天 70% 概率下雨,30% 晴天)
-
-
总结一句话:“用昨天的规律预测今天,再用今天的规律预测明天”—— 这就是时间序列模型训练的本质。
.
(2)马尔可夫模型
马尔可夫模型核心思想:未来只依赖于现在,与过去无关
在自回归近似中,若用最近的 τ \tau τ 个历史值 x t − 1 , … , x t − τ x_{t-1},\dots,x_{t-\tau} xt−1,…,xt−τ 而非全部历史来预测 x t x_t xt 是足够精确的,则称序列满足马尔可夫条件(Markov condition)。
特别地,当 τ = 1 \tau = 1 τ=1 时,得到一阶马尔可夫模型,联合概率可分解为:
P ( x 1 , … , x T ) = ∏ t = 1 T P ( x t ∣ x t − 1 ) , 其中 P ( x 1 ∣ x 0 ) : = P ( x 1 ) . P(x_1, \ldots, x_T) = \prod_{t=1}^T P(x_t \mid x_{t-1}), \quad \text{其中 } P(x_1 \mid x_0) := P(x_1). P(x1,…,xT)=t=1∏TP(xt∣xt−1),其中 P(x1∣x0):=P(x1).
当 x t x_t xt 为离散变量时,该模型尤为高效:利用动态规划可精确计算,如 P ( x t + 1 ∣ x t − 1 ) P(x_{t+1} \mid x_{t-1}) P(xt+1∣xt−1) 等边际概率:
P ( x t + 1 ∣ x t − 1 ) = ∑ x t P ( x t + 1 ∣ x t ) P ( x t ∣ x t − 1 ) , P(x_{t+1} \mid x_{t-1}) = \sum_{x_t} P(x_{t+1} \mid x_t) P(x_t \mid x_{t-1}), P(xt+1∣xt−1)=xt∑P(xt+1∣xt)P(xt∣xt−1),
这依赖于马尔可夫性质: P ( x t + 1 ∣ x t , x t − 1 ) = P ( x t + 1 ∣ x t ) P(x_{t+1} \mid x_t, x_{t-1}) = P(x_{t+1} \mid x_t) P(xt+1∣xt,xt−1)=P(xt+1∣xt)
此类动态规划方法在隐马尔可夫模型、控制与强化学习中广泛应用(详见第9.4节)。
.
(3)因果关系
核心思想:**时间有方向,因果有顺序。**数学上可以倒着算,但现实中时间不会倒流
虽然联合分布 P ( x 1 , … , x T ) P(x_1, \ldots, x_T) P(x1,…,xT) 理论上可按任意顺序分解(包括倒序):
P ( x 1 , … , x T ) = ∏ t = T 1 P ( x t ∣ x t + 1 , … , x T ) , P(x_1, \ldots, x_T) = \prod_{t=T}^1 P(x_t \mid x_{t+1}, \ldots, x_T), P(x1,…,xT)=t=T∏1P(xt∣xt+1,…,xT),
但在时序数据中,时间具有自然的前向因果方向:过去影响未来,但未来不能影响过去。
因此,改变 x t x_t xt 可能影响 x t + 1 x_{t+1} xt+1,但不会改变基于过去观测的分布。这使得前向条件概率 P ( x t + 1 ∣ x t ) P(x_{t+1} \mid x_t) P(xt+1∣xt) 更具因果解释性,也更易建模。例如,常可写出生成式关系 x t + 1 = f ( x t ) + ϵ x_{t+1} = f(x_t) + \epsilon xt+1=f(xt)+ϵ,其中 ϵ \epsilon ϵ 为噪声,而反向关系通常不可行。
这种前向因果结构正是大多数时序建模所关注的方向(详见 Peters et al., 2017)。
.
2)训练
在了解了上述统计工具后,让我们在实践中尝试一下! 首先,我们生成一些数据:使用正弦函数和一些可加性噪声来生成序列数据, 时间步为1, 2, … , 1000。
%matplotlib inline
import torch
from torch import nn
from d2l import torch as d2lT = 1000 # 总共产生1000个点
time = torch.arange(1, T + 1, dtype=torch.float32)
x = torch.sin(0.01 * time) + torch.normal(0, 0.2, (T,))
d2l.plot(time, [x], 'time', 'x', xlim=[1, 1000], figsize=(6, 3))

接下来,将这个序列转换为模型的特征-标签(feature-label)对。 基于嵌入维度 τ \tau τ,我们将数据映射为数据对 y t = x t y_t = x_t yt=xt 和 x t = [ x t − τ , … , x t − 1 ] \mathbf{x}_t = [x_{t-\tau}, \ldots, x_{t-1}] xt=[xt−τ,…,xt−1]。 这比我们提供的数据样本少了 τ \tau τ个, 因为我们没有足够的历史记录来描述前 τ \tau τ个数据样本。 一个简单的解决办法是:如果拥有足够长的序列就丢弃这几项; 另一个方法是用零填充序列。 在这里,我们仅使用前600个“特征-标签”对进行训练。
tau = 4
features = torch.zeros((T - tau, tau))
for i in range(tau):features[:, i] = x[i: T - tau + i]
labels = x[tau:].reshape((-1, 1))batch_size, n_train = 16, 600
# 只有前n_train个样本用于训练
train_iter = d2l.load_array((features[:n_train], labels[:n_train]),batch_size, is_train=True)
在这里,我们使用一个相当简单的架构训练模型: 一个拥有两个全连接层的多层感知机,ReLU激活函数和平方损失。
# 初始化网络权重的函数
def init_weights(m):if type(m) == nn.Linear:nn.init.xavier_uniform_(m.weight)# 一个简单的多层感知机
def get_net():net = nn.Sequential(nn.Linear(4, 10),nn.ReLU(),nn.Linear(10, 1))net.apply(init_weights)return net# 平方损失。注意:MSELoss计算平方误差时不带系数1/2
loss = nn.MSELoss(reduction='none')
现在,准备训练模型了。实现下面的训练代码的方式与前面几节(如 3.3节)中的循环训练基本相同。因此,我们不会深入探讨太多细节。
def train(net, train_iter, loss, epochs, lr):trainer = torch.optim.Adam(net.parameters(), lr)for epoch in range(epochs):for X, y in train_iter:trainer.zero_grad()l = loss(net(X), y)l.sum().backward()trainer.step()print(f'epoch {epoch + 1}, 'f'loss: {d2l.evaluate_loss(net, train_iter, loss):f}')net = get_net()
train(net, train_iter, loss, 5, 0.01)# 输出:
epoch 1, loss: 0.076846
epoch 2, loss: 0.056340
epoch 3, loss: 0.053779
epoch 4, loss: 0.056320
epoch 5, loss: 0.051650
.
3)预测
由于训练损失很小,因此我们期望模型能有很好的工作效果。 让我们看看这在实践中意味着什么。 首先是检查模型预测下一个时间步的能力, 也就是单步预测(one-step-ahead prediction)。
onestep_preds = net(features)
d2l.plot([time, time[tau:]],[x.detach().numpy(), onestep_preds.detach().numpy()], 'time','x', legend=['data', '1-step preds'], xlim=[1, 1000],figsize=(6, 3))

正如我们所料,单步预测效果不错。 即使这些预测的时间步超过了(600+4)(n_train + tau), 其结果看起来仍然是可信的。 然而有一个小问题:如果数据观察序列的时间步只到604, 我们需要一步一步地向前迈进:
x ^ 605 = f ( x 601 , x 602 , x 603 , x 604 ) , x ^ 606 = f ( x 602 , x 603 , x 604 , x ^ 605 ) , x ^ 607 = f ( x 603 , x 604 , x ^ 605 , x ^ 606 ) , x ^ 608 = f ( x 604 , x ^ 605 , x ^ 606 , x ^ 607 ) , x ^ 609 = f ( x ^ 605 , x ^ 606 , x ^ 607 , x ^ 608 ) , … \begin{split}\hat{x}_{605} = f(x_{601}, x_{602}, x_{603}, x_{604}), \\ \hat{x}_{606} = f(x_{602}, x_{603}, x_{604}, \hat{x}_{605}), \\ \hat{x}_{607} = f(x_{603}, x_{604}, \hat{x}_{605}, \hat{x}_{606}),\\ \hat{x}_{608} = f(x_{604}, \hat{x}_{605}, \hat{x}_{606}, \hat{x}_{607}),\\ \hat{x}_{609} = f(\hat{x}_{605}, \hat{x}_{606}, \hat{x}_{607}, \hat{x}_{608}),\\ \ldots\end{split} x^605=f(x601,x602,x603,x604),x^606=f(x602,x603,x604,x^605),x^607=f(x603,x604,x^605,x^606),x^608=f(x604,x^605,x^606,x^607),x^609=f(x^605,x^606,x^607,x^608),…
通常,对于直到 x t x_t xt的观测序列,其在时间步(t+k)处的预测输出 x ^ t + k \hat{x}_{t+k} x^t+k 称为k步预测(k-step-ahead-prediction)。 由于我们的观察已经到了 x 604 x_{604} x604,它的k步预测是 x ^ 604 + k \hat{x}_{604+k} x^604+k。 换句话说,我们必须使用我们自己的预测(而不是原始数据)来进行多步预测。 让我们看看效果如何。
multistep_preds = torch.zeros(T)
multistep_preds[: n_train + tau] = x[: n_train + tau]
for i in range(n_train + tau, T):multistep_preds[i] = net(multistep_preds[i - tau:i].reshape((1, -1)))d2l.plot([time, time[tau:], time[n_train + tau:]],[x.detach().numpy(), onestep_preds.detach().numpy(),multistep_preds[n_train + tau:].detach().numpy()], 'time','x', legend=['data', '1-step preds', 'multistep preds'],xlim=[1, 1000], figsize=(6, 3))

如上面的例子所示,绿线的预测显然并不理想。 经过几个预测步骤之后,预测的结果很快就会衰减到一个常数。 为什么这个算法效果这么差呢?
事实是由于错误的累积: 假设在步骤1之后,积累了一些错误 ϵ 1 = ϵ ˉ \epsilon_1 = \bar\epsilon ϵ1=ϵˉ。 于是,步骤2的输入被扰动了 ϵ 1 \epsilon_1 ϵ1, 结果积累的误差是依照次序的 ϵ 2 = ϵ ˉ + c ϵ 1 \epsilon_2 = \bar\epsilon + c \epsilon_1 ϵ2=ϵˉ+cϵ1, 其中c为某个常数,后面的预测误差依此类推。 因此误差可能会相当快地偏离真实的观测结果。
例如,未来24小时的天气预报往往相当准确, 但超过这一点,精度就会迅速下降。 我们将在本章及后续章节中讨论如何改进这一点。
基于 k = 1, 4, 16, 64,通过对整个序列预测的计算, 让我们更仔细地看一下k步预测的困难。
max_steps = 64features = torch.zeros((T - tau - max_steps + 1, tau + max_steps))
# 列i(i<tau)是来自x的观测,其时间步从(i)到(i+T-tau-max_steps+1)
for i in range(tau):features[:, i] = x[i: i + T - tau - max_steps + 1]# 列i(i>=tau)是来自(i-tau+1)步的预测,其时间步从(i)到(i+T-tau-max_steps+1)
for i in range(tau, tau + max_steps):features[:, i] = net(features[:, i - tau:i]).reshape(-1)steps = (1, 4, 16, 64)
d2l.plot([time[tau + i - 1: T - max_steps + i] for i in steps],[features[:, (tau + i - 1)].detach().numpy() for i in steps], 'time', 'x',legend=[f'{i}-step preds' for i in steps], xlim=[5, 1000],figsize=(6, 3))

以上例子清楚地说明了当我们试图预测更远的未来时,预测的质量是如何变化的。 虽然“(4)步预测”看起来仍然不错,但超过这个跨度的任何预测几乎都是无用的。
.
4)小结
-
内插法(在现有观测值之间进行估计)和外推法(对超出已知观测范围进行预测)在实践的难度上差别很大。因此,对于所拥有的序列数据,在训练时始终要尊重其时间顺序,即最好不要基于未来的数据进行训练。
-
序列模型的估计需要专门的统计工具,两种较流行的选择是自回归模型和隐变量自回归模型。
-
对于时间是向前推进的因果模型,正向估计通常比反向估计更容易。
-
对于直到时间步t的观测序列,其在时间步t+k的预测输出是“k步预测”。随着我们对预测时间k值的增加,会造成误差的快速累积和预测质量的极速下降。
.
声明:资源可能存在第三方来源,若有侵权请联系删除!
