【支承导向元件】滚动轴承及其选型计算
目录
- 一、滚动轴承的种类
- 1. 深沟球轴承
- 2. 角接触球轴承
- 3. 调心球轴承
- 4. 圆柱滚子轴承
- 5. 圆锥滚子轴承
- 6. 推力球轴承
- 二、滚动轴承的选型
- 1. 选型步骤
- 2. 案例分析
本文主要介绍了滚动轴承的主要种类及其选型计算。
一、滚动轴承的种类
滚动轴承的作用是支承转动的轴及轴上零件,减少轴的磨损及转动阻力,保持轴的正常工作位置和旋转精度。
1. 深沟球轴承
深沟球轴承是机械行业中应用最广泛的滚动轴承之一,核心特点是结构简单、通用性强、适用范围广
结构组成:核心结构由外圈、内圈、钢球、保持架四大基础部件组成,部分型号会增加密封圈或防尘盖,内圈与轴配合、外圈与轴承座配合,钢球在内外圈的滚道中滚动,保持架用于分隔钢球、减少摩擦。
国标型号:“6”字开头,如6204,6代表深沟球轴承系列。
深沟球轴承轴向受力偏弱,径向受力中等,极限转速很高,轴向力较大的工况不适合用深沟球轴承。

2. 角接触球轴承
角接触球轴承是一种能同时承受径向载荷和单向轴向载荷的滚动轴承,核心优势是承载能力强、精度高,适合高速重载场景。
类型:
结构组成:由外圈、内圈、钢球、保持架构成,内外圈滚道呈一定角度,钢球与滚道为点接触。
国标型号:“7”字开头。
角接触球轴承分为面和背,其中内圈可以出来的一侧称为面,由于只能承受单侧轴向力,因此一般成对使用,高精度使用时需要面对面安装。其极限转速也很高。

3. 调心球轴承
调心球轴承是一种具有自动调心功能的滚动轴承,核心优势是能补偿轴与轴承座的同轴度误差,适用工况更灵活。
结构组成:内部是双排滚珠,内圈有两个滚道,外圈是圆弧形,有自调心功能。
国标型号:“1”字开头。
可以自动补偿由于轴、壳体变形产生的同轴度误差

4. 圆柱滚子轴承
圆柱滚子轴承径向受力能力很高,轴向受力能力偏弱,极限转速较低。
结构组成:由外圈、内圈、圆柱滚子、保持架构成,部分型号带挡边,用于限制轴向位移。滚子与内外圈滚道为线接触,接触面积大,径向承载能力高。
国标型号: “N”“NU”“NJ”“NF” 等开头,
N:无挡边(内圈无挡边,外圈有单挡边,可轴向窜动);
NU:内圈有双挡边,外圈无挡边(可轴向窜动);
NJ:内圈双挡边,外圈单挡边(可承受单向轴向载荷);

5. 圆锥滚子轴承
圆锥滚子轴能同时承受径向载荷和单向轴向载荷的滚动轴承,核心优势是承载能力强、刚性高,一般成对安装。
结构组成:滚子与滚道的锥面汇交于轴承轴线同一点,保证滚动时无滑动摩擦。
国标型号:“3”字开头。
后缀:C(普通圆锥角)、E(加强型,滚子数量更多)、DB(背对背安装)、DF(面对面安装)、DW(串联安装)

6. 推力球轴承
推力球轴承专门承受轴向载荷,核心优势是轴向承载能力强、结构简单,仅能承受单向或双向轴向力,无法承受径向载荷。
结构组成:由紧圈(与轴配合,随轴转动)、松圈(与轴承座配合,固定不动)、钢球、保持架构成。
国标型号: “5” 开头。

二、滚动轴承的选型
1. 选型步骤
1. 确定轴径(轴承内圈直径)
轴径大小公式:

P为功率,KW;n为转速,rpm.
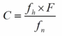
2. 计算额定动载荷(确定轴承外圈直径)
额定动负载计算公式:

系数fh表:

转速fn表:

3. 确定型号
2. 案例分析

1. 确定轴径

系数C的选取:跟材料有关,选择材料为45钢,取110。

确定轴的直径为12mm
2. 计算额定动载荷(确定轴承外圈直径)

3. 确定型号
选择6001深沟球轴承,其动负载为5100N,满足条件

