AbMole小讲堂丨Cyclophosphamide(环磷酰胺):应用于肿瘤与免疫研究的热门烷化工具
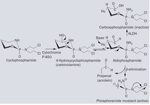
Cyclophosphamide(AbMole,M3746)是一种烷化剂,属于氮芥类化合物,其代谢产物可干扰DNA复制和RNA转录。Cyclophosphamide (CAS No.:6055-19-2) 在细胞中可通过细胞色素P450系统代谢为4-羟基环磷酰胺和醛磷酰胺,这些代谢产物可诱导染色质的DNA交联,阻止DNA的复制和RNA转录。此外,Cyclophosphamide还具有免疫调节作用,能够影响T细胞和B细胞的增殖,改变细胞因子的分泌。在科研领域,Cyclophosphamide被广泛用于研究对多种生物学过程的影响。例如,在肿瘤学研究中,Cyclophosphamide被广泛用于肿瘤细胞体外实验模型与动物移植瘤模型,利用其对肿瘤细胞的增殖抑制活性,分析肿瘤细胞的生长特性、耐受机理,以及筛选潜在的抗肿瘤靶点或评估新的肿瘤干预策略的有效性。Cyclophosphamide(AbMole,M3746)在免疫学研究中,常被用于构建免疫抑制模型或调控免疫细胞群体,例如通过设定特定剂量与处理时间,选择性清除小鼠体内的淋巴细胞(如 B 细胞、T 细胞)。AbMole为全球科研客户提供高纯度、高生物活性的抑制剂、细胞因子、人源单抗、天然产物、荧光染料、多肽、化合物库、抗生素等科研试剂,全球大量文献专利引用。

The metabolic pathway of cyclophosphamide.
范例详解
BMC Biol. 2021 May 20;19(1):108.
厦门大学、华侨大学的科研团队在上述文章中发现了极长基因间非编码 RNA(vlincRNA)可通过核内 proximity 机制在顺式(cis)和反式(trans)水平直接调控多个基因,且其调控网络在 DNA 损伤应激下对癌细胞存活至关重要,该文章为解析 lncRNA 的功能机制提供了多方法交叉验证的研究框架。实验人员以K562细胞为模型,通过 “共表达分析 + RNA - 染色质相互作用 mapping+CRISPR/Cas13 敲低验证” 的三重策略,系统解析了407个 vlincRNA的调控功能。此外,科研人员使用了AbMole的多款产品,包括SN-38(NK012,AbMole,M3016)、Etoposide(VP-16-213,AbMole,M2326)、Cyclophosphamide(AbMole,M3746)建立了“药物处理库”以处理K562细胞,用来筛选对DNA损伤应答敏感的 vlincRNA。2014年,AbMole的两款抑制剂分别被西班牙国家心血管研究中心和美国哥伦比亚大学用于动物体内实验,相关科研成果发表于顶刊 Nature 和 Nature Medicine.

Description and validation of the RAT assay.
AbMole是ChemBridge中国区官方指定合作伙伴。

