【工具】PixPin 电脑实用截图工具!带免费OCR截图/贴图/录屏/文字识别
软件简介
天推荐一款超级实用的截图软件,功能非常的强大,PixPin截图工具简单来说是一个截图、贴图的工具,但是PixPin以截图和贴图两大功能为核心做了大量的优化功能,目标是提升用户在工作时的工作效率,无论用户使用电脑做何种工作,都可以使用PixPin提高工作效率。PixPin的截图功能覆盖了日常三大需求:静态截图、长截图和动态截图。默认快捷键是Ctrl+1,当然也可以按自己习惯修改。
软件下载
PixPin截图工具
软件安装
1.点击上面下载安装包,下载后解压(不要在网盘里解压)。一般我分享的都是7-ZIP压缩包,所以要用他来解压。

2.解压后打开文件夹,如图

3.选择自己电脑的型号,右键‘以管理员身份运行’,如图


4.点击确定。

5.点击下一步。

6.点击下一步(这里可以选择可以习惯的文件夹)

7.点击下一步。

8.点击安装。

9.安装中,麻烦耐心等待。。。点击完成

10.页面打开就是这样,快来试试吧。

软件使用教程
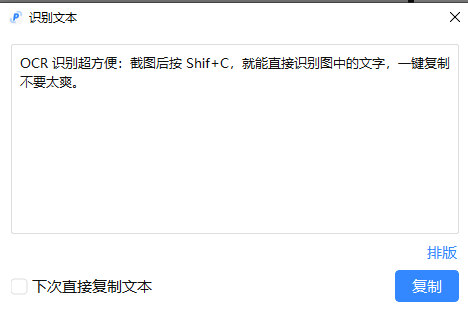
OCR 识别超方便:截图后按 Shift+C,就能直接识别图中的文字,一键复制不要太爽。
●截图后点击“OCR识别”,几秒就能提取图片上的文字,准确率超高,支持中英文,还能直接复制粘贴到文档;
●不管是模糊的截图、扫描件,还是网页上的禁止复制文字,都能轻松提取,学生党整理笔记、上班族处理合同超省心。

直接方框标记、方框马赛克,当我们复制后的文本,有时候需要当临时备忘, 直接Crtl + 2 就可让文本直接成图显示在屏幕上。

长截图:如果想截的内容超出了屏幕范围(如聊天记录,长表格,文章,代码等),可以使用截长图功能。
●按下截图快捷键Ctrl + 1 进入截图界面,框选滚动区域后点击长截图图标进入长截图模式,此时使用鼠标滚轮或者控制滚动条滚动内容,PixPin会自动拼接滚动内容成为一个长图片。

动态截图: PixPin支持记录动态图片,方便用户进行简单的录屏,在截图截面框选好录制范围后,点击GIF图标即可进入动图录制页面。
●选择录制区域,一键启动,能捕捉屏幕上的所有动态操作,比如软件教程、游戏精彩瞬间、PPT演示过程;
●录制时还能同步使用标注工具,添加箭头、文字提示,生成的GIF清晰流畅,发同事、发朋友圈都方便。

随意截图贴图:默认快捷键Ctrl + 1可以触发截图(快捷键可以自定义)。
●截图后点击“贴图”,图片会悬浮在所有窗口之上,透明度可调节,还能锁定位置,不会被其他窗口遮挡;
●写代码时对照语法、做设计时参考素材、做题时对照答案,不用反复切换窗口,效率直接翻倍。

丰富标注:在截图或者贴图上可以使用PixPin内置的各种工具进行标注,包括画矩形/椭圆,折线,箭头,序号,铅笔,荧光比,马赛克,文字等。


配置功能:功能丰富的同时,配置也同样丰富,可以细节修改!无需登录

PixPin的基本使用只需要记住两个热键,截图:Ctrl + 1 贴图:Ctrl + 2。
它适配 Windows 电脑和 MacOS 电脑。这个软件从我发现开始就一直装在电脑上,支持截图,标注,编辑,动图录屏,贴图、高亮,动图制作,文本OCR识别,长截图等等,功能十分丰富,完美契合我对「截图工具」的所有使用需求,每天都会用到,非常喜欢。
