oj题 ——— 链式二叉树oj题
目录
链式二叉树oj题
相同的树
单值二叉树
对称二叉树
二叉树的前序遍历
另一棵树的子树
二叉树遍历
链式二叉树oj题
相同的树
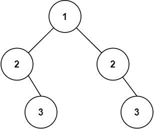
100. 相同的树 - 力扣(LeetCode)
给你两棵二叉树的根节点 p 和 q ,编写一个函数来检验这两棵树是否相同。
如果两个树在结构上相同,并且节点具有相同的值,则认为它们是相同的。
示例 1:

输入:p = [1,2,3], q = [1,2,3] 输出:true
示例 2:

输入:p = [1,2], q = [1,null,2] 输出:false
示例 3:

输入:p = [1,2,1], q = [1,1,2] 输出:false
代码演示:
bool isSameTree(struct TreeNode* p, struct TreeNode* q)
{if (p == NULL && q == NULL)return true;if (q == NULL || p == NULL)return false;if (p->val != q->val)return false;return isSameTree(p->left, q->left) && isSameTree(p->right, q->right);
}
代码解析:
1. 核心判断逻辑:分情况验证节点匹配性
函数isSameTree接收两棵树的根节点p和q,通过以下步骤判断是否相同:
情况 1:两个节点都为空(p == NULL && q == NULL)→ 返回true
若p和q都是NULL,说明当前位置的 “节点” 在两棵树中都不存在,结构上完全匹配,因此返回true。
- 例如:两棵树的某个叶子节点的左 / 右子树都为空,此时这部分结构相同。
情况 2:一个节点为空,另一个非空(q == NULL || p == NULL)→ 返回false
若p和q中一个是NULL,另一个不是,说明两棵树在当前位置的结构不匹配(一个有节点,一个没有),直接返回false。
- 例如:树
p的左子树为空,树q的左子树有节点,此时结构不同。
情况 3:两个节点都非空,但值不相等(p->val != q->val)→ 返回false
若p和q都不是NULL,但它们的节点值不同,说明当前节点不匹配,返回false。
- 例如:树
p的当前节点值为2,树q的对应节点值为1,值不匹配。
情况 4:两个节点都非空且值相等 → 递归验证左右子树
若当前节点值相等(p->val == q->val),则需要进一步验证它们的左子树和右子树是否也相同:
- 递归调用
isSameTree(p->left, q->left):检查左子树是否相同; - 递归调用
isSameTree(p->right, q->right):检查右子树是否相同; - 只有左子树和右子树都相同(两个递归调用都返回
true),整体才返回true(用&&连接结果)。
2. 递归过程:从根到叶逐层验证
整个判断过程是 “自顶向下” 的:
- 先验证根节点是否匹配;
- 若根节点匹配,再分别验证左子树的根节点、右子树的根节点;
- 以此类推,直到所有叶子节点的左右子树(均为
NULL)都被验证,确保每一层的结构和值都完全一致。
单值二叉树
965. 单值二叉树 - 力扣(LeetCode)
如果二叉树每个节点都具有相同的值,那么该二叉树就是单值二叉树。
只有给定的树是单值二叉树时,才返回 true;否则返回 false。
示例 1:

输入:[1,1,1,1,1,null,1] 输出:true
示例 2:

输入:[2,2,2,5,2] 输出:false
代码演示:
bool isUnivalTree(struct TreeNode* root)
{if (root == NULL)return true;if ((root->left != NULL && root->val != root->left->val) || (root->right != NULL && root->val != root->right->val))return false;return isUnivalTree(root->left) && isUnivalTree(root->right);
}
代码解析:
1. 边界处理:空树视为单值二叉树
代码开头判断if (root == NULL),若当前节点为空(如叶子节点的左右子树、空树的根节点),则返回true。
- 原因:空树没有任何节点,自然不存在 “不同的值”,符合 “单值” 的定义;对于非空树的空孩子节点(如叶子节点的左 / 右子树),也无需检查(没有节点可对比)。
2. 核心判断:当前节点与左右孩子的值是否一致
通过if ((root->left != NULL && root->val != root->left->val) || (root->right != NULL && root->val != root->right->val))判断当前节点是否破坏 “单值性”:
- 条件拆解:
- 若左孩子存在(
root->left != NULL),且左孩子的值与当前节点值不同(root->val != root->left->val)→ 不符合单值,返回false; - 或右孩子存在(
root->right != NULL),且右孩子的值与当前节点值不同(root->val != root->right->val)→ 不符合单值,返回false。
- 若左孩子存在(
- 作用:直接拦截 “当前节点与子节点值不同” 的情况,避免无效的递归。
3. 递归验证:左右子树是否均为单值二叉树
若当前节点与左右孩子(若存在)的值均一致,则需进一步验证左右子树是否也满足 “所有节点值相同”:
- 递归调用
isUnivalTree(root->left):检查左子树是否为单值; - 递归调用
isUnivalTree(root->right):检查右子树是否为单值; - 只有左右子树都为单值二叉树(两个递归调用都返回
true),当前树才是单值二叉树(用&&连接结果)。
对称二叉树
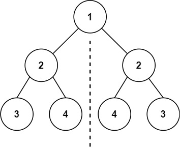
101. 对称二叉树 - 力扣(LeetCode)
给你一个二叉树的根节点 root , 检查它是否轴对称。
示例 1:

输入:root = [1,2,2,3,4,4,3] 输出:true
示例 2:

输入:root = [1,2,2,null,3,null,3] 输出:false
代码演示:
bool _isSymmetric(struct TreeNode* leftRoot, struct TreeNode* rightRoot)
{if (leftRoot == NULL && rightRoot == NULL)return true;if (leftRoot == NULL || rightRoot == NULL)return false;if (leftRoot->val != rightRoot->val)return false;return _isSymmetric(leftRoot->left, rightRoot->right) && _isSymmetric(leftRoot->right, rightRoot->left);
}
bool isSymmetric(struct TreeNode* root)
{if (root == NULL)return true;return _isSymmetric(root->left, root->right);
}
代码解析:
1. 主函数isSymmetric:启动对称判断
主函数负责处理根节点的边界情况,并启动对左右子树的镜像判断:
- 若根节点
root为空(空树),直接返回true(空树是轴对称的); - 否则,调用辅助函数
_isSymmetric,传入根节点的左子树(root->left)和右子树(root->right),因为 “整棵树轴对称” 等价于 “左子树与右子树互为镜像”。
2. 辅助函数_isSymmetric:核心镜像判断逻辑
辅助函数接收两个节点(leftRoot和rightRoot),判断这两个节点是否为 “镜像对称” 的(即结构相同、对应值相同,且子节点也镜像对称),分四步判断:
步骤 1:两个节点都为空 → 对称
若leftRoot == NULL && rightRoot == NULL,说明两个位置的节点都不存在,结构上对称,返回true。
- 例如:左子树的某个节点的左孩子为空,右子树对应节点的右孩子也为空,这部分结构对称。
步骤 2:一个节点为空,另一个非空 → 不对称
若leftRoot == NULL || rightRoot == NULL(即一个存在一个不存在),说明两个位置的结构不匹配(一边有节点,一边没有),返回false。
- 例如:左子树的节点有左孩子,右子树对应节点的右孩子为空,结构不对称。
步骤 3:两个节点都非空,但值不相等 → 不对称
若两个节点都存在(非空),但leftRoot->val != rightRoot->val,说明对应节点的值不匹配,返回false。
- 例如:左子树的节点值为 3,右子树对应节点值为 4,值不对称。
步骤 4:两个节点都非空且值相等 → 递归判断子节点的镜像关系
若当前节点值相等,需进一步验证它们的子节点是否满足 “镜像对称” 的对应关系:
- 左子树的左节点(
leftRoot->left)需与右子树的右节点(rightRoot->right)对称(左对右); - 左子树的右节点(
leftRoot->right)需与右子树的左节点(rightRoot->left)对称(右对左); - 只有这两组子节点都对称(两个递归调用都返回
true),当前节点才是镜像对称的(用&&连接结果)。
二叉树的前序遍历
144. 二叉树的前序遍历 - 力扣(LeetCode)
给你二叉树的根节点 root ,返回它节点值的 前序 遍历。
示例 1:
输入:root = [1,null,2,3]
输出:[1,2,3]
解释:

示例 2:
输入:root = [1,2,3,4,5,null,8,null,null,6,7,9]
输出:[1,2,4,5,6,7,3,8,9]
解释:

示例 3:
输入:root = []
输出:[]
示例 4:
输入:root = [1]
输出:[1]
代码演示:
int BTreeSize(struct TreeNode* root)
{if (root == NULL)return 0;return BTreeSize(root->left) + BTreeSize(root->right) + 1;
}
void _preorderTraversal(struct TreeNode* root, int* PrevOrderArr, int* pi)
{if (root == NULL)return;PrevOrderArr[(*pi)++] = root->val;_preorderTraversal(root->left, PrevOrderArr, pi);_preorderTraversal(root->right, PrevOrderArr, pi);
}
int* preorderTraversal(struct TreeNode* root, int* returnSize)
{*returnSize = BTreeSize(root);int* PrevOrderArr = (int*)malloc(sizeof(int) * (*returnSize));if (PrevOrderArr == NULL){perror("preorderTraversal.malloc");return NULL;}int i = 0;_preorderTraversal(root, PrevOrderArr, &i);return PrevOrderArr;
}
代码解析:
1. BTreeSize函数:计算二叉树的节点总数
该函数的作用是统计二叉树中所有节点的数量,为后续分配存储遍历结果的数组提供大小依据,避免数组溢出或空间浪费。
- 递归逻辑:
- 若当前节点
root为空(root == NULL),返回 0(空树 / 空子树无节点); - 否则,返回 “左子树的节点数”+“右子树的节点数”+1(当前节点本身)。
- 若当前节点
- 例如:对于示例 1 的树
[1,null,2,3],左子树为空(0 个节点),右子树有 2 个节点(2 和 3),加上根节点 1,总节点数为0+2+1=3。
2. _preorderTraversal函数:递归执行前序遍历,填充结果数组
该辅助函数负责按照 “根→左→右” 的前序顺序,将节点值存入数组,核心依赖递归实现子树的遍历。
- 参数说明:
root:当前遍历的子树的根节点;PrevOrderArr:存储遍历结果的数组;pi:指向数组当前填充索引的指针(用于在递归中共享同一个索引,确保值按顺序连续存储)。
- 递归逻辑(前序顺序):
- 若当前节点
root为空,直接返回(空子树无需处理); - 访问根节点:将当前节点值
root->val存入数组的PrevOrderArr[*pi],然后通过(*pi)++将索引后移一位(准备存储下一个值); - 递归遍历左子树:调用
_preorderTraversal(root->left, PrevOrderArr, pi),处理左子树的所有节点; - 递归遍历右子树:调用
_preorderTraversal(root->right, PrevOrderArr, pi),处理右子树的所有节点。
- 若当前节点
3. preorderTraversal函数:主函数,统筹遍历流程
该函数是对外的接口,负责协调 “计算节点数→分配数组→启动遍历” 的全流程,并返回最终结果。
- 步骤分解:
- 计算节点总数:通过
BTreeSize(root)得到树的节点数,存入*returnSize(用于告诉调用者结果数组的长度); - 分配结果数组:根据节点数
*returnSize,用malloc分配一个 int 类型数组PrevOrderArr,若分配失败(PrevOrderArr == NULL),通过perror提示错误并返回NULL; - 初始化索引:定义
int i = 0作为数组的初始填充索引(从 0 开始); - 启动遍历:调用
_preorderTraversal(root, PrevOrderArr, &i),将遍历结果存入数组; - 返回结果:返回填充好的数组
PrevOrderArr。
- 计算节点总数:通过
另一棵树的子树
572. 另一棵树的子树 - 力扣(LeetCode)
给你两棵二叉树 root 和 subRoot 。检验 root 中是否包含和 subRoot 具有相同结构和节点值的子树。如果存在,返回 true ;否则,返回 false 。
二叉树 tree 的一棵子树包括 tree 的某个节点和这个节点的所有后代节点。tree 也可以看做它自身的一棵子树。
示例 1:

输入:root = [3,4,5,1,2], subRoot = [4,1,2] 输出:true
示例 2:

输入:root = [3,4,5,1,2,null,null,null,null,0], subRoot = [4,1,2] 输出:false
代码演示:
bool isSameTree(struct TreeNode* p, struct TreeNode* q)
{if (p == NULL && q == NULL)return true;if (q == NULL || p == NULL)return false;if (p->val != q->val)return false;return isSameTree(p->left, q->left) && isSameTree(p->right, q->right);
}
bool isSubtree(struct TreeNode* root, struct TreeNode* subRoot)
{if (root == NULL)return false;if (isSameTree(root, subRoot))return true;return isSubtree(root->left, subRoot) || isSubtree(root->right, subRoot);
}
代码解析:
1. 辅助函数isSameTree:判断两棵树是否完全相同
该函数是检验子树的基础工具,作用是判断以p和q为根的两棵树是否 “结构相同且对应节点值相同”,逻辑与之前判断相同二叉树一致:
- 若
p和q都为空(p == NULL && q == NULL)→ 相同,返回true; - 若一个为空一个非空(
p == NULL || q == NULL)→ 结构不同,返回false; - 若节点值不同(
p->val != q->val)→ 值不匹配,返回false; - 否则递归判断左子树(
p->left与q->left)和右子树(p->right与q->right),两者都相同才返回true。
2. 主函数isSubtree:检验root中是否包含subRoot作为子树
核心思路是:遍历root的每个节点,将该节点视为潜在的子树根节点,用isSameTree判断其是否与subRoot完全相同,只要存在一个这样的节点,就返回true。具体逻辑分三步:
步骤 1:边界处理 ——root为空时无匹配子树
若root == NULL(已遍历到root的空子孙节点),说明当前路径上没有可匹配的子树,返回false。
步骤 2:检查当前节点的子树是否与subRoot相同
调用isSameTree(root, subRoot),判断以当前root为根的子树是否与subRoot完全相同:
- 若返回
true(结构和值都一致),说明找到匹配的子树,直接返回true; - 若返回
false,则继续检查root的左右子树。
步骤 3:递归检查左右子树是否包含subRoot
若当前节点的子树不匹配,递归检查左子树(isSubtree(root->left, subRoot))和右子树(isSubtree(root->right, subRoot)):
- 只要左子树或右子树中存在与
subRoot匹配的子树(两个递归调用有一个返回true),整体就返回true(用||连接结果); - 若左右子树都没有匹配的子树,最终返回
false。
二叉树遍历
二叉树遍历_牛客题霸_牛客网
描述
编一个程序,读入用户输入的一串先序遍历字符串,根据此字符串建立一个二叉树(以指针方式存储)。 例如如下的先序遍历字符串: ABC##DE#G##F### 其中“#”表示的是空格,空格字符代表空树。建立起此二叉树以后,再对二叉树进行中序遍历,输出遍历结果。
输入描述:
输入包括1行字符串,长度不超过100。
输出描述:
可能有多组测试数据,对于每组数据, 输出将输入字符串建立二叉树后中序遍历的序列,每个字符后面都有一个空格。 每个输出结果占一行。
示例1
输入:abc##de#g##f###
输出:c b e g d f a
代码演示:
#include <stdio.h>
#include <stdlib.h>typedef char BTDataType;
typedef struct BinaryTreeNode
{BTDataType data;struct BinaryTreeNode* left;struct BinaryTreeNode* right;
}BinaryTreeNode;BinaryTreeNode* BuyNode(BTDataType x)
{BinaryTreeNode* newnode = (BinaryTreeNode*)malloc(sizeof(BinaryTreeNode));if (newnode == NULL){perror("BuyNode.malloc");return NULL;}newnode->data = x;newnode->right = NULL;newnode->left = NULL;return newnode;
}void InOrder(BinaryTreeNode* root)
{if (root == NULL)return;InOrder(root->left);printf("%c ", root->data);InOrder(root->right);
}BinaryTreeNode* ConstructBinaryTree(char* parr, int* i)
{if (parr[*i] == '#'){(*i)++;return NULL;}BinaryTreeNode* node = BuyNode(parr[(*i)++]);node->left = ConstructBinaryTree(parr, i);node->right = ConstructBinaryTree(parr, i);return node;
}int main()
{char prevArr[100];scanf("%s", prevArr);int i = 0;BinaryTreeNode* root = ConstructBinaryTree(prevArr, &i);InOrder(root);return 0;
}
代码解析:
1. 数据结构定义:二叉树节点
BinaryTreeNode结构体定义了二叉树节点的结构,包含三个成员:
data:存储节点的值(字符类型,对应输入字符串中的字母或#);left:指向左子树的指针;right:指向右子树的指针。
2. BuyNode函数:创建新节点
该函数用于为二叉树创建一个新节点,是构建树的基础工具:
- 功能:分配内存空间,初始化节点的
data为输入值x,并将left和right指针设为NULL(初始无左右子树); - 异常处理:若内存分配失败(
malloc返回NULL),通过perror提示错误并返回NULL。
3. InOrder函数:中序遍历并输出
该函数通过递归实现二叉树的中序遍历(左子树→根节点→右子树),并按要求输出结果:
- 遍历逻辑:
- 若当前节点
root为NULL(空树 / 空子树),直接返回(无需处理); - 先递归遍历左子树(
InOrder(root->left)); - 再输出当前节点的
data(格式为 “字符 + 空格”,如printf("%c ", root->data)); - 最后递归遍历右子树(
InOrder(root->right))。
- 若当前节点
4. ConstructBinaryTree函数:根据先序字符串构建二叉树
该函数是核心,通过递归按照先序遍历规则(根→左→右)解析字符串,构建二叉树,其中#代表空节点:
- 参数说明:
parr:输入的先序遍历字符串(如"abc##de#g##f###");i:指向当前处理字符串索引的指针(用于在递归中共享同一个索引,确保按顺序解析每个字符)。
- 构建逻辑:
- 若当前字符是
#(parr[*i] == '#'):表示当前位置是 “空节点”,索引i加 1(跳过#),返回NULL; - 若当前字符是字母:
- 创建新节点(
BuyNode(parr[*i])),节点值为当前字符,索引i加 1(移动到下一个字符); - 递归构建左子树(
node->left = ConstructBinaryTree(parr, i)),即按先序规则处理当前节点的左孩子; - 递归构建右子树(
node->right = ConstructBinaryTree(parr, i)),即按先序规则处理当前节点的右孩子; - 返回当前节点(作为父节点的左 / 右孩子)。
- 创建新节点(
- 若当前字符是
5. main函数:统筹流程
主函数负责串联 “输入→构建树→遍历输出” 的全流程:
- 读取输入:用
scanf读取先序遍历字符串(存储在prevArr中); - 初始化索引:
int i = 0,用于跟踪字符串解析的位置; - 构建二叉树:调用
ConstructBinaryTree(prevArr, &i),根据字符串生成二叉树的根节点; - 中序遍历输出:调用
InOrder(root),按中序顺序输出节点值(每个字符后带空格)。
