数学分析简明教程——3.5
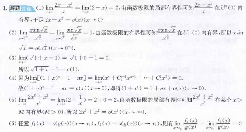
1.


这里答案有一定的问题


二者的区别就是O可以是同阶无穷小,对于o,f(x)需要小的更厉害才行
其他证明大致相同,只是同阶无穷小需要用O不可以用o表示
同时这里的等于其实是属于的意思,左侧代表一个函数,右边o(g)或者O(g)代表一个函数类
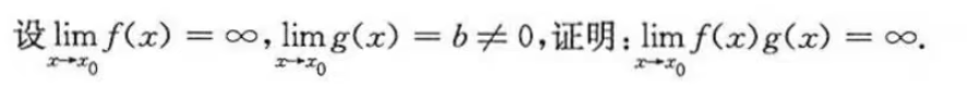
2.
定理3.12说白了就是同阶无穷小可以替换

4.

计算渐近线一般有三步
1.看水平渐近线:当x趋于无穷,函数会不会趋于一个值
2.看垂直渐近线:看是不是存在某些x使得函数趋于无穷
3.看斜渐近线:
5.

6.

7.

8.

1.


这里答案有一定的问题


二者的区别就是O可以是同阶无穷小,对于o,f(x)需要小的更厉害才行
其他证明大致相同,只是同阶无穷小需要用O不可以用o表示
同时这里的等于其实是属于的意思,左侧代表一个函数,右边o(g)或者O(g)代表一个函数类
2.
定理3.12说白了就是同阶无穷小可以替换

4.

计算渐近线一般有三步
1.看水平渐近线:当x趋于无穷,函数会不会趋于一个值
2.看垂直渐近线:看是不是存在某些x使得函数趋于无穷
3.看斜渐近线:
5.

6.

7.

8.
