【2025软考高级架构师】——2025年5月架构真题解析
摘要
本文是一份关于2025年5月软考高级架构师真题的解析资料。它详细介绍了考试中涉及的多个知识点,包括知识获取、管理、意图识别、知识检索、语句解析等关键环节。通过案例分析和论文真题解析,为考生提供了全面的复习指导,覆盖了软件测试、数据库、架构设计、开发技术等多个领域,帮助考生深入理解考试内容,掌握解题方法。
1. 综合题目解析
1.1. 某信道的带宽为3000HZ,编码采用32种不同的物理状态来表示数据,在无噪声环境下,该信道的最大数据传输速率是()kbps。


1.2. 操作系统采用页式存储管理,用位图管理空闲页框,若页大小为4KB,物理内存大小为16GB,则位图所占内存空间大小是()KB。

1.3. 已知关系R(a,b,c,d)和R上的函数依赖F=(a->cd,c->b),则R的候选码是(C)。
A.c
B.d
C.a
D.b

从图中可以很直观地看出,入度为零的节点是a,从这个节点出发,能遍历全图,所以为候选码。
1.4. 净室软件工程的理论基础主要是(A)。
- 函数理论和抽样理论
- 迭代模型
- 瀑布模型
- 概率统计
“净室软件工程(Cleanroom Software Engineering)” 的核心思想是——像硬件那样用形式化方法来构造无缺陷的软件,强调预防错误而不是测试后修正。
❌ 其他选项说明:
- 迭代模型、瀑布模型:属于软件生命周期模型,不是理论基础;
- 概率统计:虽用于可靠性分析,但不是净室方法的主要理论基础。
净室(Cleaning Room)软件工程是一种应用数学与统计学理论以经济的方式生产高质量软件的工程技术,力图通
过严格的工程化的软件过程达到开发中的零缺陷或接近零缺陷。净室方法不是先制作一个产品,再去消除缺陷,而
是要求在规约和设计中消除错误,然后以“净”的方式制作,可以降低软件开发中的风险,以合理的成本开发出高质量的软件。
1、净室软件工程的理论基础主要是函数理论和抽样理论。所以本题选择A选项。
2、净室软件工程中应用的技术手段主要有以下4种。
- 统计过程控制下的增量式开发
- 基于函数的规范与设计
- 正确性验证(正确性验证被认为是CSE的核心,正是由于采用了这一技术,净室项目的软件质量才有了极大的提高)
- 统计测试和软件认证
3、净室软件工程在使用的过程中,也显示出一些缺点。
- CSE太理论化,需要更多的数学知识。其正确性验证的步骤比较困难且比较耗时。CSE要求采用增量式开发、盒子结构、统计测试方法,普通工程师必须经过加强训练才能掌握,开发软件的成本比较高昂。
- CSE开发小组不进行传统的模块测试,这是不现实的。工程师可能对编程语言和开发环境还不熟悉,而且编译器或操作系统的bug也可能导致未预期的错误。
- CSE毕竟脱胎于传统软件工程,不可避免地带有传统软件工程的一些弊端。
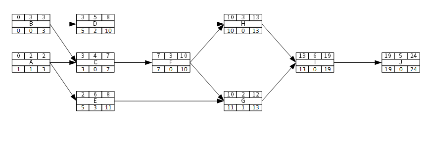
1.5. 某工程项目包括10个作业A~J,各作业所需的时间及其衔接关系如下表:如果作业D推迟3天开始,其他因素都不变,整个工程工期将推迟()天完成。

根据图示,列出所有的路径,然后找到最长的那条即为关键路径。路径BCFHIJ为关键路径,关键路径为24,D不在关键路径上,推迟3天,关键路径发生改变变为25天,故整个项目会推迟1天完成。

1.6. 在下列运算中,()不属于关系运算。
A.删除
B.连接
C.投影
D.选择
关系运算的基本操作包括:
- 选择(Select):通过条件筛选行,是关系运算的基础操作。
- 投影(Project):选择关系中特定的列,是经典的关系运算操作。
- 连接(Uoi):将两个关系基于条件合并,是关系运算的核心操作之一。
在关系代数中,常见的基本运算包括:
| 运算类型 | 运算符 | 说明 |
| 选择(Selection) | σ | 从关系中选取满足条件的元组(行) |
| 投影(Projection) | π | 从关系中选取指定的属性(列) |
| 连接(Join) | ⋈ | 按一定条件将两个关系连接起来 |
| 并(Union) | ∪ | 取两个关系的并集 |
| 差(Difference) | − | 取两个关系的差集 |
| 笛卡尔积(Cartesian Product) | × | 形成所有元组的组合 |
此外,还有一个常见但不属于“关系运算”的操作:
| 操作 | 说明 |
| 删除(Delete) | 是数据库操作语言(如 SQL 的 DML 操作),不是关系代数中的基本运算。 |
1.7. 操作系统中有5个进程,若每个进程最多可同时访问2个资源,为了不发生死锁,至少需要提供(A)个资源。
A.6
B.5
C.8
D.10

1.8. 设x,y满足约束条件:X-1≥0,X-ys0,X+y-4≤0,则y/x的最大值是()。
A.3
B.2
C.4
D.1
根据题意可得到不等式方程组:
- X-1≥0
- X-ys0,
- X+y-4≤0
解方程组,得到三组可行解:
- (1)X=1,y=3,此时y/x=3
- (2)X=1,y=1,此时y/x=1
- (3)X=2,y=2,此时y/X=1
所以y/X最大值是:3。本题选择A选项。
1.9. 某公司有100人,其中会Java语言的有45人,会C语言的有53人,会Python语言的有55人,既会Java语言也会C语言的有28人,既会C语言也会Python语言的有32人,既会Python语言也会Java语言的有35人,三种语言都会的有20,那么三种语言都不会的有()人。
A.21
B.20
C.23
D.22

1.10. CMMl(Capability Maturity Model Integration)提供了一个软件能力成熟度模型它将软件过程改进的步骤组织成(C)个成熟度等级。
A.3
B.4
C.5
D.6
CMMI提供了一个软件能力成熟度的框架,它将软件过程改进的步骤组织成5个成熟度等共包括18个关键过程域,
52个过程目标,3168种关键实践,它为软件过程不断奠定了一个循序渐进的基础,共有5个等级,本题选择C。
- Level1初始级:处于成熟度级别1级时,过程通常是随意且混乱的。这些组织的成功依赖于组织内人员的能力与英雄主义、成熟度1级的组织也常常能产出能用的产品与服务,但它们经常超出在计划中记录的预算与成本。
- Level2已管理级:在该等级下,意味着组织要确保策划、文档化、执行、监督和控制项目级的过程,并且需要为过程建立明确的目标,并能实现成本、进度和质量目标等。
- Level3已定义级:在这一等级,企业能够根据自身的特殊情况定义适合自己企业和项目的标准流程,将这套管理体系与流程予以制度化,同时企业开始进行项目积累,企业资产的收集。
- Level4量化管理级:在成熟度4级,组织建立了产品质量、服务质量以及过程性能的定量目标。成熟度级别3级与4级的关键区别在于对过程性能的可预测。
- Level5优化级:在优化级水平上,企业的项目管理达到了最高的境界。成熟度级别5级关注于通过增量式的与创新式的过程与技术改进,不断地改进过程性能。处于成熟度5级时,组织使用从多个项目收集来的数据对整体的组织级绩效进行关注。
1.11. 软件测试中回归测试的目的是()。
A.预防功能的不完善
B.确保修正过程中没有引入新的缺陷
C.辅助系统测试
D.辅助单元测试
回归测试是在软件修改后,重新执行之前通过的测试用例,以确认修改没有引入新的错误或导致其他部分产生问
题。它的核心关注点在于软件修改前后的功能一致性。
软件测试目的是什么?也就是说,测试的最终目的 不是证明软件没有错误,而是 尽可能早地发现错误、缺陷和风险,以便及时修复和改进。
1.12. 以下关于软件测试与调试说法错误的是(A)。
A.测试是调试之后的活动,测试和调试在目标、方法和思路上都有所不同
B.测试从一个已知的条件开始,使用预先定义的过程,有预知的结果;调试从一个未知的条件开
始,结束的过程不可预计
C测试过程可以事先设计,进度可以事先确定;而调试不能描述过程或持续时间
D.测试的目的是找出程序中存在的错误,而调试的目的是定位错误并且修改程序以修正错误
软件调试与测试的区别主要体现在以下几个方面:
- 测试的目的是找出存在的错误,而调试的目的是定位错误并修改程序以修正错误。
- 调试是测试之后的活动,测试和调试在目标方法和思路上都有所不同。A选项错误。
- 测试从一个已知的条件开始,使用预先定义的过程,有预知的结果;调试从一个未知的条件开始,结束的过程不可预计。
- 测试过程可以事先设计,进度可以事先确定;调试不能描述过程或持续时间。
1.13. UP把软件开发生命周期划分为多个循环,每个循环生成产品的一个新的版本,每个循环依次由多个连续的阶段组成。其中,设计及确定系统的体系结构、制定工作计划及资源要求是(D)阶段主要活动。
A.初始
B.构造
C.移交
D.细化
RUP把软件开发生命周期划分为多个循环,每个循环生成产品的一个新的版本,每个循环依次由4个连续的阶段(Phase)组成,每个阶段完成确定的任务。这4个阶段如下:
- 初始(inception)阶段:定义最终产品视图和业务模型,并确定系统范围。
- 细化(elaboration)阶段:设计及确定系统的体系结构,制订工作计划及资源要求。本题选择D选项。
- 构造(construction)阶段:构造产品并继续演进需求、体系结构、计划直至产品提交。
- 移交(transition)阶段:把产品提交给用户使用。
1.14. 在逆向工程中用于恢复信息的方法有四类。其中,用户指导下的搜索与变换方法用于导出(C)信息。
A.实现级和功能级
B.实现级和领域级
C.实现级和结构级
D.功能级和领域级
逆向工程是一种通过分析现有系统来推导出其设计原理和工作机制的过程。在这个过程中,导出信息可以分为四个
抽象层次:实现级、结构级、功能级和领域级。
- 用户指导下的搜索与变换方法主要用于导出实现级和结构级信息。这种方法通过用户指导下的搜索和变换操作,从现有程序中抽象出实现级和结构级的信息。除此之外,逆向工程恢复信息的方法还有以下几种:
- 变换式方法(Transformation Approaches)用于导出实现级、结构级、功能级。
- 基于领域知识Domain Knowledge-Based)的方法用于导出功能级、领域级。
- 铅板恢复法用于导出实现级、结构级。
1.15. 边缘计算的核心思想是将计算任务从中心节点转移到数据产生的边缘节点,以下不属于边缘计算特点的是(C)。
A.降低功耗
B.降低延迟
C.提高带宽
D.提高安全性
A. 选项降低功耗:边缘计算通过将计算任务从中心节点转移到数据产生的边缘节点,减少了数据传输的距离和数量,从而降低了网络设备的能耗。同时,边缘设备通常采用低功耗的硬件设计,进一步降低了整体功耗。所以降低功耗是边缘计算的一个显著特点。
B. 选项降低延迟:在边缘计算中,数据在产生的边缘节点进行处理,无需传输到远程的中心节点,从而大大减少了数据传输的延迟。所以降低延迟是边缘计算的核心优势之一。
C. 选项提高带宽:边缘计算实际上是通过减少数据传输量来降低对带宽的需求。由于数据在边缘节点进行处理,只有必要的结果或摘要数据才需要传输到中心节点,因此并不直接提高带宽。相反,它可能通过优化数据传输来更有效地利用现有带宽。所以提高带宽不属于边缘计算的特点。
D. 选项提高安全性:边缘计算通过将数据处理分散到多个边缘节点,减少了数据在传输过程中的暴露风险。同时,边缘节点可以实施更严格的安全策略,如数据加密、访问控制等,从而提高了整体的安全性。此外,边缘计算还可以减少对中心节点的依赖,降低了因中心节点故障或被攻击而导致的安全风险。所以提高安全性是边缘计算的一个重要特点。
1.16. 嵌入式操作系统通常分为实时和非实时两类,(B)不属于实时嵌入式操作系统。
A.WinCE
B.VxWorks
C.Android
D.IOS
- VxWorks是一个具有可伸缩性、可裁剪性和高可靠性的实时嵌入式操作系统,广泛应用于通信、军事、航空航天、工业控制等对实时性要求极高的领域。
- iOS是苹果公司为其移动设备(如iPhone、iPad等)开发的操作系统,它主要侧重于用户体验和应用程序的运行,并非专门为实时应用设计。
- Android:是一个基于Liux内核的开源移动操作系统,主要用于智能手机、平板电脑等移动设备。提供了丰富的应用程序开发接口和良好的用户界面,但不是实时操作系统。
- WinCE(Vindows Embedded Compact)是微软公司开发的一款嵌入式操作系统,它具有较小的内核和较低的资源需求,适用于一些资源受限的嵌入式设备。WiCE并非严格的实时操作系统。
综上VxWorks:是典型的实时嵌入式操作系统,而lOS、Android和WinCE不属于实时嵌入式OS。本题选择B选项。
1.17. 黑盒测试使用到的方法不包括(A)。
A.路径覆盖
B.边界值分析
C.等价类划分
D.因果图
动态测试是通过运行程序发现错误,包括黑盒测试(等价类划分、边界值分析法、错误推测法、因果图等等)与白
盒测试(各种类型的覆盖测试)。这里A选项路径覆盖属于白盒测试,而不是黑盒测试。静态测试是人工测试方式,包括桌前检查(桌面检查)、代码走查、代码审查。
黑盒测试(Black-box Testing):黑盒测试是从软件外部进行测试,不考虑程序的内部结构与逻辑,只关注:
- 输入 → 输出是否符合预期;
- 功能是否实现;
- 性能、易用性、安全性等非功能特性。
🧩 常用方法包括:
- 等价类划分(Equivalence Partitioning):把输入数据分为有效和无效等价类进行测试。
- 边界值分析(Boundary Value Analysis):检查输入范围的边界情况,如最小值、最大值、临界值。
- 因果图法(Cause-Effect Graphing):分析输入条件(原因)与输出动作(结果)之间的逻辑关系。
路径覆盖(Path Coverage)
- 属于**白盒测试(White-box Testing)**方法;
- 需要了解程序内部逻辑结构;
- 通过控制流分析,确保每条可能的路径都至少被执行一次。
| 测试方法 | 类型 |
| 路径覆盖 | ❌ 白盒测试 |
| 边界值分析 | ✅ 黑盒测试 |
| 等价类划分 | ✅ 黑盒测试 |
| 因果图 | ✅ 黑盒测试 |
1.18. 在进行单元测试时,(C)是设计测试用例的依据。
A.需求分析文档
B.详细设计文档
C.项目计划文档
D.概要设计文档
| 测试阶段 | 测试对象 | 测试依据 |
| 单元测试(Unit Testing) | 模块 / 函数 / 类 | 详细设计文档 |
| 集成测试(Integration Testing) | 模块间接口与协作 | 概要设计文档 |
| 系统测试(System Testing) | 整个系统功能与性能 | 需求分析文档 |
| 验收测试(Acceptance Testing) | 用户需求与业务目标 | 需求分析文档、合同等 |
单元测试是最底层的测试阶段,目的是验证程序模块(如函数或类)是否正确实现了设计。
它依赖的设计信息包括:
- 模块的输入输出;
- 内部逻辑;
- 数据结构;
- 算法细节;
这些内容都来源于 详细设计文档(Detailed Design Specification)。
1.19. 关于白盒测试,下列说法正确的是()。
八.条件覆盖不一定包含判定覆盖,判定覆盖也不一定包含条件覆盖
B.语句覆盖比判定覆盖强
C.条件覆盖比判定覆盖强
D条件组合覆盖保证程序中所有可能的路径都至少遍历一次
白盒测试常用覆盖类型
| 覆盖类型 | 含义 | 关系 |
| 语句覆盖(Statement Coverage) | 程序中每条语句至少执行一次 | 最弱,不能保证判定逻辑完全执行 |
| 判定覆盖(Decision / Branch Coverage) | 程序中每个判定的真/假分支至少执行一次 | 比语句覆盖强 |
| 条件覆盖(Condition Coverage) | 程序中每个原子条件至少取真和假一次 | 与判定覆盖不同,两者互不包含 |
| 条件组合覆盖(Multiple Condition / Condition Combination Coverage) | 所有可能的条件组合都被测试 | 比条件覆盖更强,但仍未必覆盖所有路径 |
| 路径覆盖(Path Coverage) | 所有可能执行路径都被遍历 | 最强(理论上最难实现) |
| 选项 | 分析 | 正误 |
| A | 条件覆盖关注每个条件的真/假,判定覆盖关注整体判定的真/假,两者互不包含 | ✅ 正确 |
| B | 语句覆盖比判定覆盖弱,而不是强 | ❌ 错误 |
| C | 条件覆盖不一定比判定覆盖强,两者关注点不同 | ❌ 错误 |
| D | 条件组合覆盖保证所有条件组合,但不等于所有路径覆盖 | ❌ 错误 |
1.20. 在典型强实时调度算法中,(C)算法是根据任务的紧急程度确定任务的优先级。
A.Earliest Deadline First
B.First In First Out Scheduling
C.Least Laxity First
D.Rate Monotonic Scheduling
- 最早截止期调度算法(EDF算法):根据任务的截止时间来确定其优先级,对于时间期限最近的任务,分配最高的优先级。
- 最低松弛度优先LL日算法:根据任务紧急(或松弛)的程度,来确定任务的优先级。任务的紧急程度愈高,为该任务所赋予的优先级就愈高,使之优先执行。
- 单调速率调度(Rate Monotonic Scheduling,RMS)算法:是一种静态优先级调度算法,是经典的周期性任务调度算法。
- RMS的基本思路是任务的优先级与它的周期表现为单调函数的关系,任务的周期越短,优先级越高;任务的周期越长,优先级越低。
1.21. ERP中的企业资源包括企业的“三流”资源,即(C)。
A.税务流资源、资金流资源和信息流资源
B.物流资源、税务流资源和信息流资源
C.物流资源、资金流资源和信息流资源
D.物流资源、资金流资源和税务流资源
在 ERP(Enterprise Resource Planning,企业资源计划) 系统中,企业的核心资源通常被概括为“三流”:
| 三流名称 | 含义 |
| 物流 | 指企业生产、采购、销售过程中,物料、商品的流动。 |
| 资金流 | 指企业在经营活动中,资金的流入、流出及结算过程。 |
| 信息流 | 指在业务运作中产生、传递和处理的信息。 |
补充理解:ERP系统的核心目标就是实现这三者的集成与协调运作:
- 信息流控制物流和资金流;
- 物流推动资金流;
- 三者统一于同一信息平台中,实现企业资源的最优配置与决策支持。
【考生回忆版】Kruchten提出了一个“4+1”的视图模型。“4+1”视图模型从5个不同的视角来描述软件架构,每个视图只关心系统的一个侧面,5个视图结合在一起才能反映软件架构的全部内容。其中,(D)主要考虑如何把软件映射到硬件上;(A)侧重于系统的运行特性。
A.场景
B.模块视图
C.开发视图
D.物理视图
----------
A.进程视图
B.实现视图
C.逻辑视图
D.部署视图
1.22. 下列选项中会导致线程从执行态变为就绪态的是(B)。
A.键盘输入
B.主动让出CPU
C.执行信号量的wait()操作
D.缺页异常
线程的几种状态回顾:
| 状态 | 含义 |
| 就绪态(Ready) | 线程已具备运行条件,等待 CPU 调度。 |
| 执行态(Running) | 线程正在占用 CPU 执行指令。 |
| 阻塞态(Blocked / Waiting) | 线程因等待某事件(I/O、信号量、锁等)而暂停执行。 |
状态转换分析:
| 选项 | 说明 | 执行态 → ? |
| A. 键盘输入 | 属于 I/O 操作,会让线程等待输入完成 | 执行态 → 阻塞态 ❌ |
| B. 主动让出 CPU | 调用如 | 执行态 → 就绪态 ✅ |
| C. 执行信号量的 wait() 操作 | 若信号量不可用,则线程会等待资源 | 执行态 → 阻塞态 ❌ |
| D. 缺页异常 | 系统需从磁盘调页,线程会等待 I/O 完成 | 执行态 → 阻塞态 ❌ |
结论:线程从执行态 → 就绪态的唯一情况是:线程主动让出 CPU(例如调用 yield() 或时间片耗尽)
1.23. 黑板架构风格中,用于进行数据处理和计算的构件是(A)。
A.知识源
B.控制器
C.黑板
D.中央数据结构

1.24. 下面关于需求跟踪的描述不正确的是(A)。
A.正向跟踪是检查设计文档、代码、测试用例等工作成果是否都能在《产品需求规格说明书》中找到出处
B.需求跟踪的目的是建立与维护“需求-设计-编程-测试”之间的一致性
C.需求跟踪包括编制每个需求同系统元素之间的联系文档,这些元素包括别的需求、体系结构、其他设计部件、源代码模块、测试、帮助文件和文档等
D.正向跟踪和逆向跟踪合称为“双向跟踪”
| 选项 | 描述 | 正误 |
| A. 正向跟踪是检查设计文档、代码、测试用例等工作成果是否都能在《产品需求规格说明书》中找到出处 | ❌ 错误。👉 这是 逆向跟踪(Backward Traceability) 的定义。正向跟踪应是从需求出发,确保每个需求都在设计、代码、测试中被实现。 | |
| B. 需求跟踪的目的是建立与维护“需求-设计-编程-测试”之间的一致性 | ✅ 正确。 | |
| C. 需求跟踪包括编制每个需求同系统元素之间的联系文档,这些元素包括其他需求、体系结构、设计、代码、测试、文档等 | ✅ 正确。 | |
| D. 正向跟踪和逆向跟踪合称为“双向跟踪” | ✅ 正确。 |
| 跟踪类型 | 含义 |
| 正向跟踪(Forward Traceability) | 从需求 → 设计 → 实现 → 测试,确保每个需求都被实现。 |
| 逆向跟踪(Backward Traceability) | 从实现 → 测试 → 设计 → 需求,确保每个实现部分都有需求来源。 |
| 双向跟踪(Bidirectional Traceability) | 同时具备正向与逆向跟踪能力,确保完整性与可追溯性。 |
1.25. 在UML用例图中,用例与用例之间不存在(D)。
A.包含关系
B.泛化关系
C.扩展关系
D.聚合关系
在 UML 用例图(Use Case Diagram) 中,用例与用例之间可以存在的三种关系是:
- 包含关系(Include): 表示一个用例在执行过程中必然包含另一个用例的行为。例:
下单用例 包含登录验证用例。 - 扩展关系(Extend):表示一个用例在特定条件下扩展另一个用例。例:
下单用例 被扩展 为优惠券结算用例。 - 泛化关系(Generalization)表示一个用例是另一个用例的特化(继承)。例:
网上支付泛化为支付宝支付、微信支付。
不存在的关系聚合关系(Aggregation): 是类与类之间(表示整体与部分)的一种结构关系,不适用于用例与用例之间。
1.26. 在UML活动图中,(C)是原子的,不能被分解、没有内部转移、没有内部活动,它的工作所占用的时间可以忽略。
A.活动状态
B.初始状态
C.动作状态
D.原子状态
题目考点:UML 活动图中的状态类型:在 UML(统一建模语言)活动图(Activity Diagram) 中,状态主要分为以下几类:
| 状态类型 | 含义 | 是否可分解 | 时间是否可忽略 |
| 活动状态(Activity State) | 表示一段可持续的活动,可能包含多个动作或子活动 | ✅ 可分解 | ❌ 时间不可忽略 |
| 动作状态(Action State) | 表示一个原子的动作,无内部活动、不可再分解 | ❌ 不可分解 | ✅ 时间可忽略 |
| 初始状态(Initial State) | 活动图的起点,用实心圆表示 | - | - |
| 终止状态(Final State) | 活动图的终点,用实心圆外套圆圈表示 | - | - |
题目分析:题干中关键词:“原子的、不能被分解、没有内部转移、没有内部活动、工作所占用的时间可以忽略”
完全符合动作状态(Action State) 的定义。
1.27. 双生命周期模型是一种软件产品线过程模型,分为两个重叠的生命周期,分别是(A)。
A.领域工程和应用工程
B.应用工程和企业工程
C.领域工程和企业工程
D.应用工程和管理工程
双生命周期模型(Dual Life Cycle Model)是 软件产品线(Software Product Line, SPL) 的核心过程模型。
它将整个软件产品线的开发过程分为两个相互关联、部分重叠的生命周期:
| 生命周期 | 主要内容 | 目标 |
| 领域工程(Domain Engineering) | 面向整个产品线的共性开发 | 建立可复用的核心资产(如架构、组件、需求模型等) |
| 应用工程(Application Engineering) | 面向单个具体产品的定制开发 | 基于核心资产快速组装出具体产品 |
软件产品线的过程模型主要有双生命周期模型、SE]模型和三生命周期模型。双生命周期模型分成两个重叠的生命
周期,分别是领域工程和应用工程。

1.28. 在REST API中,(D)用于对一个资源进行部分修改,而不需要发送整个资源的完整表示。
A.PART
B.POST(创建新资源)
C.PUT(整体更新资源)
D.PATCH(部分更新资源)
REST API 常见 HTTP 方法及用途
| 方法 | 作用 | 是否幂等 | 说明 |
| GET | 获取资源 | ✅ 是 | 不修改服务器资源 |
| POST | 创建新资源 | ❌ 否 | 向服务器提交数据,新建或触发操作 |
| PUT | 整体更新资源 | ✅ 是 | 用请求体中的完整资源替换服务器上的资源 |
| PATCH | 部分更新资源 | ❌ 否 | 仅修改资源中的部分字段 |
| DELETE | 删除资源 | ✅ 是 | 删除指定资源 |
1.29. Wb服务器性能评测方法不包括(D)。
A.可靠性测试
B.压力测试
C.基准性能测试
D.U测试
| 方法 | 说明 |
| 可靠性测试 | 检查服务器在长时间运行或异常情况下的稳定性和错误恢复能力 |
| 压力测试(Stress Testing) | 模拟极端负载或高并发,评估服务器的性能极限 |
| 基准性能测试(Benchmark Testing) | 使用标准化测试工具评估服务器在特定条件下的性能指标 |
| U测试 | 并非标准性能测试方法,通常指单元测试(Unit Test),与服务器性能评测无关 |
1.30. 一个对象将另一个对象的能力与特点进行完全的继承之后,又继承了其他对象的相应内容,使得这个对象所具有的能力与特点大于等于父对象,这种继承属于(D)。
A.特化继承
B.取代继承
C.受限继承
D.包含继承
继承类型概念
- 特化继承(Specialization / Subclassing)
-
- 子类继承父类的所有属性和方法,并可增加新的能力和特点。
- 子类的能力 ≥ 父类能力。
- 典型场景:
动物 → 鸟,鸟继承了动物的基本特性,同时增加了飞行能力。
- 取代继承(Overriding / Replacement Inheritance)
-
- 子类重写(覆盖)父类的方法,改变或替代原有行为。
- 受限继承(Restricted / Limited Inheritance)
-
- 子类继承父类的某些属性或方法,但有使用限制。
- 包含继承(Containment / Composition)
-
- 对象通过“包含”其他对象来复用其功能,而不是通过类的继承。
- 又称“组合”,强调has-a关系,而非is-a关系。
题干关键点:“将另一个对象的能力与特点进行完全的继承之后,又继承了其他对象的相应内容,使得这个对象所具有的能力与特点大于等于父对象”
- 完全继承父类能力 → 继承
- 再增加新的能力 → 特化
符合特化继承 的定义。
1.31. 一个对象有5个属性,每个属性有2种可能的取值,如果要求对所有值的组合进行测试,则共有(C)种不同的测试组合。
A.5
B.10
C.32
D.25

1.32. 申请软件著作权登记时应当向中国版权保护中心提交软件的鉴别材料,具体包括(A)。
A.程序和文档的鉴别材料
B.程序和著作权归属书面合同的鉴别材料
C.程序和数据的鉴别材料
D.数据和文档的鉴别材料
1.33. 国家秘密的保密期限,除另有规定外,机密级不超过(A)。
A.二十年
B.十年
C.四十年
D.三十年
根据《中华人民共和国保守国家秘密法》及相关规定:
| 密级 | 保密期限(除另有规定外) | 说明 |
| 绝密 | 30年 | 对国家安全最重要的信息 |
| 机密 | 20年 | 对国家安全有重大影响的信息 |
| 秘密 | 10年 | 对国家安全有一定影响的信息 |
1.34. 软件著作权人享有多项权利,其中()指决定软件是否公之于众的权利。(B)
A.信息网络传播权
B.发表权
C.发行权
D.转让权
根据《中华人民共和国著作权法》及相关规定,软件著作权包括以下主要权利:
| 权利 | 含义 |
| 发表权 | 决定软件是否公之于众,以及以何种方式公之于众的权利。 |
| 复制权 | 复制软件的权利,包括制作拷贝、复制到存储介质等。 |
| 发行权 | 公开销售或赠送软件的权利。 |
| 信息网络传播权 | 通过信息网络传播软件,使公众能够获得的权利。 |
| 修改权 / 翻译权 | 修改、改编、翻译软件的权利。 |
| 转让权 | 将软件著作权转让给他人的权利。 |
1.35. 微服务架构中,断路器模式主要包含以下三种状态(D)。
A.关闭状态、激活状态、挂起状态
B.激活状态、打开状态、休眠状态
C.激活状态、打开状态、熔断状态
D.关闭状态、打开状态、半开状态

断路器模式包含以下三个主要状态:
- 关闭状态(Closed:初始状态,允许请求通过。如果请求失败次数超过阈值,则状态切换为“打开状态”。
- 打开状态(Ope):不允许请求通过,直接返回错误。经过一段时间后,将状态切换为“半开状态”。
- 半开状态(Half-Open):允许部分请求通过。如果请求成功,则状态切换为关闭状态,否则,切换回打开状态。
1.36. 下面关于三层C/S架构的特点描述不正确的是()。
A.合理地划分三层的功能,使整个系统的逻辑结构更为清晰,能提高系统的可维护性和可扩展性
B.B/S架构是一种特殊的两层C/S架构
C.与两层C/S架构相比,在三层C/S架构中,增加了一个应用服务器
D.三层C/S架构将应用系统分成表示层、功能层和数据层三个部分
三层 C/S 架构概述:三层架构(Three-tier Architecture) 通常包括:
- 表示层(Presentation Layer)
-
- 用户界面,负责与用户交互。
- 业务逻辑层 / 功能层(Business Logic Layer)
-
- 实现应用功能、业务规则。
- 数据层(Data Layer)
-
- 数据管理和存取(数据库)。
特点:
- 功能划分清晰,提高系统可维护性和可扩展性;
- 相比两层架构,多了应用服务器(业务逻辑层)。
| 选项 | 说明 | 正误 |
| A | 描述合理,符合三层架构优势 | ✅ 正确 |
| B | B/S 架构不是 C/S 架构的特殊情况,而是另一种体系结构,主要基于浏览器/服务器模式 | ❌ 错误 |
| C | 三层 C/S 架构相比两层 C/S 多了应用服务器(业务逻辑层) | ✅ 正确 |
| D | 三层架构分为表示层、功能层、数据层 | ✅ 正确 |
1.37. 工业大模型体系架构中,在基础设施层和应用层中间的是()。
A.基座层、数据层、模型层
B.模型层、数据层、交互层
C.基座层、模型层、交互层
D.基座层、逻辑层、模型层
工业大模型以基础设施层、基座层、模型层、交互层和应用层五层。
架构为核心框架,涵盖底层基础设施到顶层应用的完整技术链条。工业大模型体系架构图如下:

1.38. 智慧教育系统应保护用户的数据隐私,对敏感数据采用密文方式存储。这一需求属于()需求。
A.可用性
B.可靠性
C.安全性
D.性能
- 可用性(availability)是系统能够正常运行的时间比例。经常用两次故障之间的时间长度或在出现故障时系统能够恢复正常的速度来表示。
- 可靠性:软件系统一定时间内持续无故障运行的能力。
- 安全性(security)是指系统在向合法用户提供服务的同时能够阻止非授权用户使用的企图或拒绝服务的能力。安全性又可划分为
-
- 机密性【信息不泄露给未授权的用户】、
- 完整性【防止信息被篡改】、
- 不可否认性【不可抵赖】及
- 可控性【对信息的传播及内容具有控制的能力】等特性。
- 性能(performance)是指系统的响应能力,即要经过多长时间才能对某个事件做出响应,或者在某段时间内系统所能处理的事件的个数。
保护用户数据隐私和采用密文方式存储正是为了增强系统的安全性,防止敏感数据被泄露或滥用。答案选C。
1.39. 开放系统互联安全体系的五类安全服务包括(C)。
A鉴别、访问控制、安全防御、数据机密性和抗抵赖性
B.鉴别、访问控制、数据机密性、数据完整性和安全防御
C.鉴别、访问控制、数据机密性、数据完整性和抗抵赖性
D.访问控制、安全防御、数据机密性、数据完整性和抗抵赖性
开放系统互联(OSI)模型中规定的 五类安全服务:
| 安全服务 | 说明 |
| 鉴别(Authentication) | 确认实体的身份,防止冒充 |
| 访问控制(Access Control) | 限制主体对资源的访问权限 |
| 数据机密性(Confidentiality) | 防止信息被未授权访问 |
| 数据完整性(Data Integrity) | 确保信息在传输或存储过程中不被篡改 |
| 抗抵赖性(Non-repudiation) | 防止发送者或接收者否认其行为 |
1.40. 根据芯片可适应的工作环境温度,-40°C~+85°C属于(C)。
A.军用级
B.民用级
C.工业级
D.通用级
芯片温度等级概述:芯片按可工作环境温度范围通常分为以下几类:
| 等级 | 温度范围 | 应用 |
| 商用/民用级(Commercial) | 0°C ~ +70°C | 普通消费电子、电脑、家电 |
| 工业级(Industrial) | -40°C ~ +85°C | 工业控制、工厂自动化、汽车电子 |
| 军用级(Military) | -55°C ~ +125°C | 航天、军事、极端环境 |
| 汽车级(Automotive) | -40°C ~ +125°C | 汽车电子(ECU、传感器) |
题目给出的工作温度范围是:−40°C∼+85°C-40°C
- 属于 工业级芯片的标准温度范围。
- 不属于民用级(温度范围较窄),也不属于军用级(温度范围更宽)。
1.41. 数据库三级模式中,(A)描述了记录的类型和记录间的联系、操作、数据的完整性和安全性,(C)是用户需要使用的部分数据的描述。
问题1:
A.概念模式:(记录间的联系、操作、完整性和安全性。数据管理员关注的点)
B.外模式:(用户需要使用部分数据集视图,用户增删改查使用)
C.内模式: 存储模式(数据在物理上存储组织方式,B+树存储)
D.存储模式
问题2:
A.概念模式
B.存储模式
C.外模式
D.内模式
数据库三级模式概述
- 内模式(Internal / 存储模式)
-
- 描述数据在物理存储上的组织方式。
- 又称 存储模式。
- 概念模式(Conceptual / 逻辑模式)
-
- 描述数据库中记录的类型、记录间的联系、操作、完整性和安全性。
- 屏蔽了物理存储细节,是 数据库管理员的关注点。
- 外模式(External / 子模式)
-
- 描述用户需要使用的部分数据及其视图。
- 是用户所能访问的数据库部分。
1.42. 在数据流图中,数据流A经过处理后可以生成数据流B或者数据流C,但不能同时生成数据流B和数据流C,那么B和C之间用(A)关系表示。
A.⊕
B.*
C.O
D.+


2. 案例分析解析
3. 软件质量案例分析
阅读以下关于系统架构设计的叙述,回答问题1至问题3。某公司开发一个在线大模型训练平台,支持Python代码编写、模型训练和部署,用户通过 Python编写模型代码,将代码交给系统进行模型代码的解析,最终由系统匹配相应的计算机资源进行输出,用户不需要关心底层硬件平台。公司的系统架构师李工提出,该平台适合用解释器风格架构。在项目之初公司的系统分析师对该平台开发环境的需求进行了调研,具体描述如下:
- a.系统发生错误时,异常请求能够不影响用户正常工作,并发送一个消息通知系统管理员。
- b.平台应保护用户隐私,防止未授权访问。
- c.系统界面能调整屏幕,适配用户提供的屏幕尺寸比例。
- d.用户提交训练任务时应该在一分钟内提供硬件和资源,启动训练。
- e.支持远程修改,供远程用户进行连接操作,仅提供给系统注册用户使用。
- f.在训练时,应对请求5秒钟提供队列信息,
- g.支持多语音界面,操作指南和文档。
- h.发生故障时应在15秒钟内定位故障,解决故障
- i.系统发生故障时,要能提供操作日志。
- j.具备扩展能力,能够3天内完成新功能部署。
- k.数据库发生故障后,自动切换到备用数据库,保证训练不中断。
- l.符合用户习惯默认的快捷键设置。
题干中列举了所有需求列表,请填写对应的质量属性。参考答案
a、可用性
b、安全性
c、易用性
d、性能
e、安全性(易错点,重点关注最后“仅提供给系统注册用户使用”)
f、性能
g、易用性
h、可用性
i、可测试性(易错点,操作日志通过记录用户操作、系统事件及错误详情,为测试和运维人员提供实时状态追踪和故障上下文信息)
j、可修改性
k、可用性
i、易用性
本题考查了软件质量属性各个指标的含义,下面详细的解释下其中各个指标类型的含义
软件质量属性详解
(1)可用性:软件系统的可用性(Availability)是衡量系统在规定条件下持续提供正常服务能力的核心质量属性,属于运行时非功能性需求。它反映了系统抵抗故障、快速恢复并减少中断时间的能力,直接影响用户体验和业务连续性。
提升可用性策略的几个方面:
错误检测:心跳、Ping/Echo、异常
错误恢复:表决、主动冗余、被动冗余、重新同步、内测、检查点/回滚
错误避免:服务下线、事务、进程监控器
可采的关键技术方案:
- 负载均衡:将流量分发到多台服务器(如Nginx轮询算法),避免单点过载
- 数据复制与同步:实时同步数据到多个节点(如Redis Cluster、Cassandra),确保部分节点故障时数据不丢失
- 容灾设计:多机房部署(如阿里云异地多活架构),单机房故障时自动切换流量
(2)性能:性能(Performance) 是衡量系统处理效率和响应能力的关键指标,属于运行期非功能特性。它关注系统完成功能时的及时性和资源使用效率,而非功能本身是否实现。
性能的核心定义与指标:
- 响应时间(Response Time):指从用户发起请求到系统返回完整响应所消耗的时间,包括网络传输、服务器处理、数据库查询等环节
- 吞吐量(Throughput):指单位时间内系统成功处理的任务数量,如每秒事务数(TPS)、每秒请求数(RPS)
- 资源利用率(Resource Utilization):反映系统执行任务时对硬件资源(CPU、内存、磁盘 I/O、网络带宽)的占用程度
- 容量(Capacity):指系统能承受的最大负载极限,如最大并发用户数、数据存储上限等
- 提升性能的方面:
-
- 资源的需求:减少处理事件时对资源的占用、减少处理事件的数量、控制资源的使用
- 资源管理:并发机制、增加资源
- 资源仲裁:先来先服务、固定优先级、动态优先级、静态调度
(3)可修改性:指系统能够以较低成本、较高效率进行变更(如功能扩展、缺陷修复、性能优化等)的能力。它直接关联软件的长期维护成本与适应业务变化的灵活性。
实现可修改性的关键技术:
局部化修改:高内聚低耦合、预测变更、使模块通用
防止连锁反应:信息隐藏、维持现有接口、限制通信路径、使用中介
推迟绑定时间:运行时注册、多态、配置文件
(4)安全性:指系统在向合法用户提供服务的同时,抵御恶意攻击、阻止未授权访问及保护数据完整性的能力。其核心目标是保障系统的机密性(Confidentiality)、完整性(Integrity)和可用性(Availability)(即CIA三要素)提升安全性的方面:
- 抵抗攻击:用户身份验证、用户授权、维护数据机密性与完整性、限制暴露、限制访问
- 检测攻击:入侵监测系统
- 从攻击中恢复:恢复状态、识别攻击者
(5)可维护性:衡量软件在交付使用后,被理解和修改(包括修复缺陷、改进功能或适应环境变化)的难易程度的核心质量属性。它直接影响软件的长期生命周期成本、迭代效率与业务适应性。
(6)可测试性:指软件系统能够被有效测试的难易程度,包括发现故障、隔离问题、定位错误的能力,以及在有限时间和成本内完成测试设计与执行的可能性。它是软件质量属性的核心要素,直接影响测试效率、缺陷发现率及维护成本。
(7)易用性:用户能够高效、轻松且满意地学习、操作和理解软件的程度
3.1. AI相关案例分析
近年来,AI技术得到快速发展,其技术促使了智能终端软硬架构的全面升级。云端AI和端侧AI最大差别在于算力是在云侧,还是端侧计算的问题。某装备研制企业为了适应产品的智能化升级换代,要求研发部门开展端侧AI技术的研究工作,王工主要承担了智能终端的资源池化设计工作,并就资源池的架构设计提出了自己的见解。在研发部门组织的讨论会上,王工的独到见解得到技术主管的认可。
针对智能终端端侧AI的需求,王工在讨论会上提出,应开展资源池架构设计工作。资源池可高效管理和分配计算、存储和网络等资源,其核心目标是通过集中化管理、动态调度和自动化运维,提升资源利用率、弹性和可靠性。资源池架构设计除需要兼顾计算、存储、网络等资源的动态管理与优化外,同时应满足低延迟、高能效和隐私安全等核心需求。资源池的核心架构设计需要考虑 (a)资源抽象与异构计算、(b)动态调度与能效优化、(c)安全与隔离机制等三个方面。
表1给出了七种资源池架构设计方法,请根据你所掌握的相关知识,判断这些设计方法属于(a) ~ (c)的哪一类,并补充完善表1(1)~(7)的空白。

3.2. 软件架构案例分析
3.2.1. 虚拟机风格下的解释器风格架构。

- 程序执行的当前状态
- 解释器引擎的内部状态
- 解释器引擎
3.2.2. 解释器风格架构的特点:
解释器风格: 核心思想是构建一个解释器(Interpreter)来解释并执行特定领域或问题领域的语言或规则。领域特点语言(DSL): 解释器框架风格通常用于实现领域特定语言(DSL),这是一种针对特定问题领域的语言。DSL使得问题领域的规则和逻辑更容易理解和表达。
- 模块化的解释器:架构中通常包含一个或多个模块化的解释器,每个解释器负责解释特定部分的DSL或规则。这些解释器可以组合在一起以执行复杂的任务。
- 灵活性:解释器框架风格提供了高度的灵活性,因为它允许动态地添加、修改或替换解释器,以适应不断变化的需求。
- 可扩展性:架构可以轻松扩展以支持新的DSL或规则,而不会对现有的解释器产生影响。
- 多层次的解释:解释器可以构建成多层次的结构,其中一个解释器可以调用另一个解释器,从而实现复杂的解释和执行逻辑。
- 易于维护和修改:由于DSL和解释器的模块化性质,维护和修改系统变得相对容易。新的规则或语法可以通过添加新的解释器来支持,而不需要修改现有的代码。
解释器风格架构的例子:实现一个计算器程序,其中包含了:
- 词法分析器:使用正则表达式匹配数字和操作符
- 语法分析器:处理“加减乘除”以及输入的数字
- 解释器入口:相关数据输入
3.2.3. 请解释为什么该模型平台适合解释器风格。(7分)
1、动态代码解析: 解释器风格的核心是接收用户输入的代码(如Python脚本),动态解析并执行。系统可直接调用解释器或自定义解析引擎,将用户代码转化为可执行逻辑,无需编译为底层硬件指令。满足用户无需关心硬件平台的需求。
2、资源动态匹配: 解释器架构可集成资源调度模块(如Kubemetes),在解析用户代码后动态分配GPU/CPU资源。由于解释器无墨编译步骤,代码可直接执行,缩短了任务启动时间。
3、扩展性好: 解释器风格可通过插件机制扩展功能(如添加新机器学习框架的支持)。新功能以模块形式集成到解释器中,无需重构核心架构,满足快速迭代需求
3.3. Scrapy框架架构图内容
构建医药领域知识图谱的数据源为各种医药信息网站,项目组采用Scrapy框架快速抓取网页信息,Scrapy框架的异步I/O机制能够高效地处理多任务爬取。请补充完善图2中(1)~(3)的空白处,完成Scrapy框架架构示意图。并用200字以内的文字简要说明什么是异步I/O。

(1)Scrapy引擎(Scrapy Engine)
(2)实体管道(Item Pipeline)
(3)调度器(Scheduler)
异步I/O是一种非阻塞的输入输出处理方式,程序在发起I/O操作后无需等待完成,可继续执行其他任务,通过回调、事件或通知机制获取结果。这种方式能充分利用系统资源,避免线程阻塞,显著提升高并发场景下的吞吐量和响应速度,常见于网络服务、实时应用及异步编程框架中。
3.3.1. 医药领域知识图谱应采用图数据库存储方式,
医药领域信息繁杂、数据量大,请用300字以内的文字简要说明该系统构建的医药领域知识图谱应采用何种方式进行知识存储,并说明原因。原因如下:
- 适配复杂关系建模: 医药知识涉及疾病、药品、检查、科室等多类型实体,彼此间存在“病因-疾病”“药品-适应症”等复杂关联。图数据库以“节点-边-属性”模型存储,可直观达实体间多维度关系(如三甲医院与科室的所属关系药物与副作用的关联关系),满足知识图谱的语义网络构建需求。
- 支持高效检索与推理: 图数据库通过图遍历算法(如最短路径查询)可快速响应“糖尿病常用检查项目有哪些”等关联查询,避免传统关系型数据库多表连接的性能瓶颈。同时,其支持深度推理能力,可辅助挖掘隐含知识(如药物禁忌症关联),提升问答系统的语义理解深度。
- 应对数据动态扩展: 医药领域知识更新频繁(如新疗法、新药审批),图数据库的“无模式”特性(无需预先定义严格的数据结构)允许灵活新增实体类型或关系,适配知识图谱的续迭代需求。
3.4. WEB 相关案例分析
图中展示了基于知识图谱的医药领域智能问答系统的架构设计方案,请从给出的(a) - (p)中选择,补充完善图1中(1)~(10)空处的内容。基干知识图谱的医药领域智能问答系统的架构设计方案
2.1.1 参考答案
(1):(c)业务层
(2):(b)数据层
(3):(f)结构化数据
(4):(g)数据采集
(5):(j)数据清洗
(6):(h)知识获取
(7):(k)知识管理
(8):(n)意图识别
(9):(p)知识检索
(10):(o)语句解析

3.4.1. 语句解析:
命名实体识别: 命名实体识别(Named Entity Recognition, NER)就是一段文本中找出并分类那些关键名词(实体)的技术过程。
举例:
- 用户提问:“我想了解一下阿司匹林对治疗头痛的效果。”
- 被识别和分类的实体信息。通常的结构化输出可能是:
- [{“entity”: “阿司匹林”, “type”: “DRUG”}, {“entity”: “头痛”, “type”: “DISEASE”}]
- 命名实体识别(NER):这一步就是从请求中提取出关键的“查询条件”。它识别出:
- 阿司匹林-> 这是一个实体,类型是 药品(DRUG)。
- 治疗-> 这暗示了需要查找的关系类型 TREATS。
- 疾病-> 这指明了查询的目标类型 DISEASE。
意图识别: 意图识别就是系统理解用户“想干什么”的过程。它的核心任务是对用户的自然语言提问进行分类,将其归入一个预先定义好的、机器可以理解的类别(即“意图”)。
基于输入信息,判断用户意图。例如,用户输入 “阿司匹林和布洛芬哪个效果好?”,意图识别模块会判断出其意图是 [对比药品疗效]。
文本向量化: 文本向量化是将人类可读的自然语言文字(如单词、句子)转换成计算机可理解和处理的数值向量(即一长串数字)的过程。
实体链指: 将命名实体识别从文本中识别出的“实体名称”,精准地关联到知识图谱中对应的、唯一的“实体节点”上。
举例:假设用户问题是:“苹果可以多吃吗?”
1.命名实体识别(NER):成功识别出文本中有一个实体 “苹果”,类型可能是 FOOD(食物)或 COMPANY(公司)。但NER本身无法确定到底是哪一个。
2.实体链指(Entity Linking):
它接收到 {name: “苹果”, type: ambiguous}。
它可能会结合问题的上下文(“多吃”更可能指食物)或其他消歧算法。
然后它去知识图谱中搜索,最终会做出二选一的决定:
成功链接到知识图谱中代表 水果 的“苹果”节点(ENTITY_ID: Fruit_Apple)。或成功链接到知识图谱中代表 科技公司 的“苹果”节点(ENTITY_ID: Company_Apple)。这个决策过程就是“消歧”。
3.4.2. 答案检索:
知识检索: 利用前期处理得到的结构化信息(用户意图、识别出的实体),构造出复杂的查询语句,从知识图谱中检索、推理并获取最终答案片段的过程。
语义填充:
输入:上一步获得的原始、可能碎片化的答案数据。
过程:原始数据通常是结构化的字段和值,直接返回给用户体验不好。此模块负责将数据组装、润色成自然、流畅的完整答案。
举例:
原始数据: [“胃肠道不适”, “出血倾向”]
语义填充后: “阿司匹林常见的副作用包括:胃肠道不适、出血倾向等。建议遵医嘱服用。”
输出:一个准备返回给用户的、可读性强的最终答案。
4. 论文真题解析
4.1. 论软件测试方法及应用(软件测试)
软件测试是运用系统化方法验证软件质量、识别缺陷并确保软件符合需求的关键过程,它涵盖功能、性能及安全等多维度验证。当前在软件测试中的应用正成为行业变革的核心驱动力,其通过机器学习自动生成高覆盖率测试用例、利用自然语言处理技术精确解析需求文档,并借助计算机视觉实现U自动化断言等,显著的提升了测试效率与精准度。
请围绕“论软件测试方法及应用”论题,依次从以下三个方面进行论述。
①概要叙述你参与管理和开发的软件项目以及你在其中所承担的主要工作。
②详细描述AI测试用例生成的基本处理流程,说明各个步骤的基本内容。
③结合你具体参与管理和开发的项目,说明你如何实施八测试用例生成,给出具体实施过程以及应用效果。
4.1.1. AI在测试工程中的应用
AI测试用例生成是一种以人工智能为核心的自动化测试技术,通过 NLP、语义理解、模型构建与机器学习,实现从需求到测试用例的智能化生成、优化与持续改进,最终形成一个“自动生成 + 智能学习 + 自我演化”的闭环测试体系。
4.1.2. 🚀 基本处理流程总览
AI测试用例生成通常分为以下 六个主要阶段:
| 阶段 | 名称 | 主要输入 | 主要输出 |
| ① | 需求或代码解析 | 需求文档 / 代码 / 接口定义 | 结构化特征数据 |
| ② | 特征抽取与语义理解 | 文本或源码特征 | 功能点、操作意图、输入输出模式 |
| ③ | 测试目标识别与建模 | 抽取的语义信息 | 测试点模型、路径模型 |
| ④ | 测试用例生成 | 测试目标模型 | 具体测试步骤与输入输出 |
| ⑤ | 用例优化与评估 | 初始用例集 | 优化后的高覆盖率用例集 |
| ⑥ | 验证与持续学习 | 测试执行结果 | 模型再训练与优化 |
4.1.3. 🧠 各阶段详细说明
需求或代码解析(Input Understanding)
目标:从自然语言需求、接口文档或源代码中提取可测试信息。
主要工作:
- 文本解析(NLP):
-
- 从需求文档中识别“功能”、“条件”、“输出结果”;
- 提取关键实体(如输入参数、边界条件、业务规则)。
- 代码解析:
-
- 利用静态分析或抽象语法树(AST)提取函数定义、分支条件;
- 生成控制流图(CFG)或数据流图(DFG)。
- 接口解析:
-
- 解析 OpenAPI / Swagger / Postman 定义文件。
输出结果:
- 功能点描述
- 输入输出参数
- 操作逻辑路径→ 为后续建模提供语义基础。
特征抽取与语义理解(Feature Extraction & Semantic Understanding)
目标:通过AI模型理解输入内容的语义,识别业务动作、约束、边界。
主要技术:
- NLP模型(BERT、GPT、T5 等) → 从需求中理解意图;
- 语义相似度计算 → 匹配功能与已有测试模板;
- 关系抽取 → 找出输入、操作、结果之间的逻辑依赖。
示例:输入需求:“当用户余额小于100元时,不允许提现”——模型抽取语义:
条件:balance < 100
操作:withdraw()
期望:返回错误码 ERR_LOW_BALANCE
测试目标识别与建模(Test Target Modeling)
目标:将抽取的语义信息转化为可生成测试的结构化模型。
常见模型类型:
| 模型 | 说明 | 应用 |
| 规则模型(Rule Model) | 逻辑条件与输出映射 | 基于条件-动作生成用例 |
| 路径模型(Path Model) | 控制流路径组合 | 白盒测试、代码覆盖率 |
| 状态机模型(State Machine) | 系统状态与事件驱动转换 | UI测试、接口序列测试 |
| 约束模型(Constraint Model) | 参数边界与输入限制 | 边界值测试、异常输入生成 |
测试用例生成(Test Case Generation)
目标:根据模型自动生成具体测试用例,包括输入数据、执行步骤和期望输出。
生成方式:
| 方式 | 描述 | 示例 |
| 基于规则的生成(Rule-based) | 通过IF-THEN规则自动组合输入 | balance=99 → 失败 |
| 基于搜索/优化(Search-based) | 使用遗传算法、约束求解器生成边界组合 | 输入最小/最大值测试 |
| 基于模型驱动(Model-based) | 根据状态机或路径模型自动推导 | 状态转移路径 |
| 基于深度学习(DL-based) | 从历史用例学习模式生成新用例 | GPT生成自然语言测试场景 |
输出结果:
- 测试用例 ID
- 前置条件
- 测试步骤
- 输入数据
- 预期结果
用例优化与评估(Optimization & Evaluation)
目标:从大量候选用例中筛选出覆盖率高、有效性强的集合。
优化方向:
- 去重与筛选:消除语义重复或逻辑等价用例;
- 覆盖率分析:代码行、分支、路径覆盖;
- 风险优先级排序:根据风险权重排序测试用例;
- 测试数据增强:通过模糊测试或对抗样本扩充边界场景。
常用指标:
- 语义覆盖率(Semantic Coverage)
- 功能点覆盖率(Feature Coverage)
- 缺陷发现率(Defect Detection Rate)
验证与持续学习(Validation & Continuous Learning)
目标:根据测试执行结果,不断优化AI模型与生成策略。
主要环节:
- 收集执行结果(成功/失败、异常类型);
- 将反馈结果输入AI模型,进行再训练;
- 优化生成规则、参数权重;
- 构建“测试知识库(Test Knowledge Base)”,让AI持续学习更优用例模式。
✅ 形成闭环:需求 → 生成 → 执行 → 反馈 → 优化 → 再生成。
4.1.4. 🧩 AI测试整体流程图
[需求文档 / 源码 / API定义]│▼【1.解析与特征抽取】│▼【2.语义理解与目标识别】│▼【3.测试模型构建】│▼【4.AI用例生成】│▼【5.用例优化与覆盖分析】│▼【6.执行反馈与持续学习】
4.1.5. 💼 AI测试典型应用场景
| 场景 | 示例 |
| 接口测试 | 从Swagger文档自动生成接口测试用例 |
| Web自动化测试 | 从页面元素和业务流中生成Selenium脚本 |
| 金融风控测试 | 从规则引擎配置中提取条件生成风控验证用例 |
| 移动端测试 | 基于状态转移模型自动生成操作序列 |
| 安全测试 | 基于模糊输入生成异常/攻击性测试数据 |
4.2. 多模型数据库及应用(数据库)
请围绕“论多模型数据库及应用”论题,依次从以下三个方面进行论述。
①概要叙述你所参与管理或开发的软件项目,以及你在其中所承担的主要工作。
②说明多模型的数据是如何体现的,如何采用多模型数据库进行统一管理的优势。
③结合你具体参与管理和开发的项目,详细论述如何设计基于多模型数据库的信息系统。
4.2.1. 📖 什么是多模型数据库
一句话定义:多模型数据库 = 一个数据库系统中可同时支持文档、图、键值、关系、列族、时间序列等模型的统一平台。
多模型数据库是一种融合型数据库架构,它允许开发者在同一系统中灵活地存储和查询关系数据、文档数据、图数据、键值数据等,以更高的开发效率和更低的系统复杂度应对复杂、多样化的业务场景。它打破了传统单一模型(如关系模型)的局限,使得开发者可以根据不同业务数据特征选择合适的数据模型。
4.2.2. 💡 为什么需要多模型数据库
随着业务的复杂化,单一数据模型越来越难以满足所有需求:
- 用户关系、推荐系统 → 图模型;
- 交易明细、资金流水 → 关系模型;
- 产品配置、JSON报文 → 文档模型;
- 设备监控、风控日志 → 时间序列模型;
- 高速缓存、Token 管理 → 键值模型。
以往我们需要:
- MySQL 存交易数据;
- MongoDB 存 JSON;
- Neo4j 存关系图;
- Redis 做缓存。
而多模型数据库的目标就是让这些能力在一个系统中融合,避免多库协同的复杂性。
4.2.3. 🧠 常见数据模型
| 模型类型 | 数据结构 | 特点 | 典型场景 |
| 关系模型(Relational) | 表格(行列) | 结构化、强一致性 | 交易、支付、账户系统 |
| 文档模型(Document) | JSON/BSON | 灵活、自描述 | 配置、商品信息、日志 |
| 键值模型(Key-Value) | 键 → 值 | 高速读写、无模式 | 缓存、会话、Token 存储 |
| 图模型(Graph) | 顶点 + 边 | 关系查询高效 | 社交网络、反欺诈、关系图谱 |
| 列族模型(Column Family) | 宽表结构 | 大数据分析、高吞吐 | 日志、统计分析 |
| 时间序列模型(Time Series) | 时间戳序列 | 写多读少、顺序存储 | IoT、监控、金融行情 |
4.2.4. ⚙️ 多模型数据库的技术实现思路
1️⃣ 统一存储引擎:所有模型底层共享存储层,通过统一的索引与事务机制。
2️⃣ 多模型查询语言:如 ArangoDB 使用 AQL 统一查询不同模型;Oracle、PostgreSQL 支持 SQL + JSON + 图形扩展。
3️⃣ 多模型联合查询:同一个查询可以跨模型执行,例如:
SELECT user.name, order.amount
FROM users u
JOIN orders o ON u.id = o.userId
WHERE u.profile->>'riskLevel' = 'HIGH';
同时利用了关系模型(JOIN)和文档模型(JSON)。
4️⃣ 一致性与事务控制:采用统一的 ACID 事务或分布式事务机制,保证跨模型一致性。
4.2.5. 🌍 主流多模型数据库产品
| 数据库 | 支持模型 | 说明 |
| ArangoDB | 文档、图、键值 | 最典型的多模型开源数据库,统一查询语言 AQL |
| OrientDB | 文档、图、对象 | Java 实现,支持 ACID 事务 |
| Couchbase | 文档、键值、查询索引 | 企业级 JSON 数据库 |
| MarkLogic | 文档、图、关系、语义 | 面向企业知识管理与搜索 |
| PostgreSQL | 关系、JSON、XML、图 | 通过扩展支持多模型 |
| RedisJSON + RedisGraph | 键值、文档、图 | 内存型多模型数据库 |
| MongoDB + Graph Lookup | 文档 + 类图查询 | 半多模型支持 |
4.2.6. 🏦 多模型数据库的应用场景(结合金融风控领域)
| 场景 | 涉及模型 | 说明 |
| 客户360画像 | 文档 + 图 | 客户基本信息(文档)+ 客户关系(图) |
| 反欺诈网络识别 | 图 + 关系 | 快速发现异常关联账户或设备关系 |
| 信贷审批系统 | 关系 + 文档 | 审批流程(关系)+ 申请数据(JSON) |
| 支付日志分析 | 列族 + 时间序列 | 大量交易日志、延迟监控 |
| 多渠道交易合并 | 键值 + 关系 | 缓存账户状态 + 交易明细 |
| 智能风控策略中心 | 文档 + 图 + 规则 | 策略配置(JSON)+ 风控规则依赖(图) |
4.2.7. ✅ 优点与挑战与局限
| 优点 | 说明 |
| 多数据类型统一管理 | 无需维护多个数据库,简化架构。 |
| 跨模型查询能力强 | 一次查询可结合多种数据结构。 |
| 开发效率高 | 统一API、事务、索引。 |
| 降低数据冗余与同步成本 | 不必在不同数据库间同步数据。 |
| 灵活应对业务演化 | 新数据类型可直接引入,无需迁库。 |
| 挑战 | 说明 |
| 性能权衡 | 不同模型的性能难以完全兼顾。 |
| 实现复杂性高 | 存储引擎与查询优化器难统一。 |
| 生态不如单模型数据库成熟 | 工具链、驱动支持较少。 |
| 跨模型事务代价大 | 一致性控制更复杂。 |
4.2.8. 🧩 与单模型数据库的对比
| 对比维度 | 单模型数据库 | 多模型数据库 |
| 设计目标 | 专注某种结构 | 一库多模型融合 |
| 性能 | 某类查询极优 | 性能折中、功能全面 |
| 数据一致性 | 模型内部一致 | 模型间事务一致 |
| 适用场景 | 单一业务需求 | 综合性、复杂系统 |
| 成本 | 多库运维成本高 | 集中管理但系统复杂 |
4.3. 论事件驱动架构(架构设计)
请围绕“论事件驱动架构”论题,依次从以下三个方面进行论述。
①概要叙述你所参与管理或开发的软件项目,以及你在其中所承担的主要工作。
②说明事件驱动架构思想的全过程及其特点。
③结合你具体参与管理和开发的项目,分析、设计与实现事件驱动架构。
4.3.1. 事件驱动架构定义
事件驱动架构(Event-Driven Architecture,EDA) 是一种 以事件为核心的系统设计模式,系统中的各个组件通过**事件(Event)**进行通信,而不是直接调用或同步交互。
一句话总结:“事件驱动架构让系统的各个部分在事件发生时被动响应,而不是主动轮询或请求。”
4.3.2. 事件驱动架构核心思想
EDA 的核心是三部分:
- 事件生产者(Event Producer):产生事件的组件。例如,用户下单后“订单创建成功”事件由订单服务产生。
- 事件通道(Event Channel / Broker):传递事件的中间媒介。通常是 消息队列(Kafka、RabbitMQ、RocketMQ)。
- 事件消费者(Event Consumer):监听并处理事件的组件。例如,库存服务监听“订单创建成功”事件,自动减少库存。
📊 流程图示例:
[订单服务] ---> 订单创建成功事件 ---> [消息中间件] ---> [库存服务]、[积分服务]、[通知服务]
4.3.3. 🧠 事件类型
| 类型 | 说明 | 示例 |
| 业务事件(Business Event) | 代表业务状态变化 | 用户注册成功、订单支付完成 |
| 系统事件(System Event) | 代表系统行为变化 | 应用启动、配置更新、任务超时 |
| 领域事件(Domain Event) | 在领域模型中具有业务含义的事件 | “客户信用提升”、“贷款审批通过” |
4.3.4. ⚙️ 架构组成
| 组件 | 职责 |
| 事件源(Event Source) | 产生事件(通常由业务服务发出) |
| 事件总线(Event Bus / Message Broker) | 异步传递、广播事件(Kafka、RabbitMQ) |
| 事件处理器(Event Handler) | 订阅并消费事件(实现异步逻辑) |
| 事件存储(Event Store) | 保存事件日志(支持回溯、重放) |
| 事件调度器(Event Router) | 根据事件类型路由到不同消费者 |
4.3.5. 💡 事件驱动架构 vs 请求驱动架构
| 对比项 | 请求驱动(Request-Driven) | 事件驱动(Event-Driven) |
| 通信方式 | 同步调用(REST/RPC) | 异步消息(MQ/EventBus) |
| 耦合度 | 高(直接依赖) | 低(通过事件中间件) |
| 性能 | 阻塞式、等待响应 | 非阻塞、异步执行 |
| 可靠性 | 调用方与被调方强依赖 | 可通过重试与事件日志增强可靠性 |
| 典型应用 | 微服务直接调用 | 分布式系统、异步通知、实时计算 |
4.3.6. 🚀 事件驱动架构的优点与挑战
| 优点 | 说明 |
| 高解耦 | 生产者和消费者互不感知,便于扩展。 |
| 高扩展性 | 新增消费者无需修改生产者逻辑。 |
| 异步高性能 | 无需等待响应,系统吞吐量高。 |
| 弹性容错 | 消费者故障不影响生产者,消息可重试。 |
| 易于实现事件溯源(Event Sourcing) | 可重放事件,恢复系统状态。 |
| 挑战 | 说明 |
| 系统复杂性提升 | 事件流多,调试困难。 |
| 一致性问题 | 异步处理导致数据最终一致性而非强一致。 |
| 事件风暴(Event Storming) | 事件过多,难以管理与监控。 |
| 事务管理困难 | 跨服务分布式事务实现复杂。 |
4.3.7. 金融风控领域应用示例
以你熟悉的金融风控系统为例:
| 事件 | 生产者 | 消费者 | 作用 |
|
| 借款申请服务 | 风控评分服务、反欺诈引擎 | 异步启动风控策略执行 |
|
| 风控评分引擎 | 审批服务 | 根据风险分发起审批流 |
|
| 审批服务 | 放款服务、通知服务 | 发起放款流程,推送短信 |
|
| 还款服务 | 信用记录服务 | 更新客户信用评级 |
这种模式使得系统松耦合、异步化,并便于扩展新的风控策略或审批环节。
4.4. 论负载均衡技术(开发技术)
请围绕“论负载均衡技术”论题,依次从以下三个方面进行论述。
①概要叙述你所参与管理或开发的软件项目,以及你在其中所承担的主要工作。
②说明静态负载均衡,动态负载均衡,基于场景的负载均衡都包含哪几种策略,简要进行介绍。
③结合你具体参与管理和开发的项目,说明负载均衡技术的具体应用。
4.4.1. 静态负载均衡(Static Load Balancing)
特点:在系统运行前就确定请求分配策略,不考虑节点运行状态,简单高效,适合节点性能相似、负载均匀的环境。常见策略:
| 策略 | 说明 |
| 轮询(Round Robin) | 按顺序将请求依次分配给各节点,简单易实现。 |
| 加权轮询(Weighted Round Robin) | 根据节点性能分配权重,权重高的节点分配更多请求。 |
| 随机分配(Random) | 随机选择节点处理请求,适合节点数量较大且请求均匀时。 |
✅ 典型应用
- Nginx 默认支持的多种 upstream 策略;
- DNS 负载均衡;
- 静态内容分发系统;
- 小型微服务集群(节点变化少)。
4.4.2. 动态负载均衡(Dynamic Load Balancing)
特点:根据节点的实时状态(CPU、内存、响应时间等)进行请求分配,适合节点性能差异大或负载波动频繁的环境。常见策略:
| 策略 | 说明 |
| 最少连接数(Least Connections) | 将请求分配给当前连接数最少的节点,适合请求处理时间不均匀的情况。 |
| 最小响应时间(Least Response Time) | 将请求分配给响应时间最短的节点,保证快速响应。 |
| 加权动态分配(Weighted Dynamic) | 综合节点性能与当前负载动态调整权重,实现负载均衡。 |
✅ 典型应用
- LVS、HAProxy、Envoy、Nginx Plus;
- 微服务网关(Spring Cloud Gateway、Zuul);
- 云原生服务网格(Istio、Linkerd);
- 智能路由、A/B 测试系统。
4.4.3. 基于场景的负载均衡(Scenario-based Load Balancing)
特点:根据业务场景或请求特性选择分配策略,针对特定场景优化性能和用户体验。常见策略:
| 策略 | 说明 |
| 基于内容分配(Content-based / URL Hash) | 根据请求内容或 URL 特征选择节点,适合缓存分布或业务特定路由。 |
| 会话保持(Session Persistence / Sticky Session) | 将同一用户请求固定分配到同一节点,保证会话一致性。 |
| 地理位置路由(Geo-based Routing) | 根据用户地理位置选择最近节点,提高访问速度和用户体验。 |
✅ 典型应用
- CDN、跨地域业务(银企互联系统、金融云);
- 微服务灰度发布体系;
- 智能调度平台(如 Kubernetes 调度器 + HPA);
- 风控引擎的多场景决策分流;
- AI 服务分层推理(轻量模型 vs 全量模型)。
| 类别 | 调度依据 | 优点 | 缺点 | 典型场景 |
| 静态负载均衡 | 固定规则(轮询、哈希) | 简单高效,稳定性好 | 无法适应节点负载变化 | 小规模 Web、缓存系统 |
| 动态负载均衡 | 实时状态反馈 | 自适应性能强 | 实现复杂,监控成本高 | 高并发微服务、金融交易系统 |
| 基于场景负载均衡 | 业务/地理/用户上下文 | 智能、灵活 | 依赖业务策略设计 | 风控、跨地域系统、灰度发布 |
博文参考
- https://blog.csdn.net/qq_45860217/article/details/150485270
- https://blog.csdn.net/qq_45860217/article/details/151215715
- https://wangxiao.xisaiwang.com/tiku2/list-zt131.html
