跟着小码学算法Day20:构造二叉树
目录
一、通用前提
二、构造方法
1、前序 + 中序 构造二叉树
核心思路
解题步骤
2、中序 + 后序 构造二叉树
核心思路
解题步骤
三、通用模板
四、典型例题
一、通用前提
要唯一构造一棵二叉树,通常需要两种遍历方式的组合,因为单一遍历无法确定树的结构。
关键:找到根节点,并划分左右子树。
| 遍历方式 | 遍历顺序 | 特点 |
|---|---|---|
| 前序 (Preorder) | 根 → 左 → 右 | 第一个元素是根 |
| 中序 (Inorder) | 左 → 根 → 右 | 可以通过根划分左右子树 |
| 后序 (Postorder) | 左 → 右 → 根 | 最后一个元素是根 |
二、构造方法
1、前序 + 中序 构造二叉树
核心思路
以前序遍历确定根节点,以中序遍历划分左右子树。
- 前序遍历的第一个元素是当前树的根节点。
- 在中序遍历中找到这个根的位置,那么:
- 根左边的所有元素 → 属于左子树
- 根右边的所有元素 → 属于右子树
- 左子树的节点数量决定了前序遍历中左子树的范围。
解题步骤
- 取
preorder[0]作为当前根节点。 - 在
inorder中查找该根的位置index。 - 计算左子树节点数:
leftSize = index - inLeft。 - 划分左右子树范围:
- 左子树:
- 中序:
[inLeft, index) - 前序:
[preLeft + 1, preLeft + 1 + leftSize)
- 中序:
- 右子树:
- 中序:
[index + 1, inRight) - 前序:
[preLeft + 1 + leftSize, preRight)
- 中序:
- 左子树:
- 递归构建左右子树,并挂到根节点上。
- 返回根节点。
2、中序 + 后序 构造二叉树
核心思路
以后序遍历确定根节点,以中序遍历划分左右子树。
- 后序遍历的最后一个元素是当前树的根节点。
- 在中序遍历中找到这个根的位置,那么:
- 根左边 → 左子树
- 根右边 → 右子树
- 左子树的节点数量决定了后序遍历中左子树的范围。
解题步骤
- 取
postorder[postRight - 1]作为当前根节点。 - 在
inorder中查找该根的位置index。 - 计算左子树节点数:
leftSize = index - inLeft。 - 划分左右子树范围:
- 左子树:
- 中序:
[inLeft, index) - 后序:
[postLeft, postLeft + leftSize)
- 中序:
- 右子树:
- 中序:
[index + 1, inRight) - 后序:
[postLeft + leftSize, postRight - 1)(去掉最后一个根)
- 中序:
- 左子树:
- 递归构建左右子树,并挂到根节点上。
- 返回根节点。
三、通用模板
Map<Integer, Integer> map = new HashMap<>();public TreeNode buildTree(int[] inorder, int[] xxxorder) {// xxxorder 是 preorder 或 postorderfor (int i = 0; i < inorder.length; i++) {map.put(inorder[i], i);}return build(inorder, 0, inorder.length,xxxorder, 0, xxxorder.length);
}private TreeNode build(int[] inorder, int inLeft, int inRight,int[] xxxorder, int xLeft, int xRight) {if (inLeft >= inRight || xLeft >= xRight) return null;// 根据遍历方式取根int rootVal = (xxxorder == preorder) ? xxxorder[xLeft] : // 前序:第一个xxxorder[xRight - 1]; // 后序:最后一个TreeNode root = new TreeNode(rootVal);int index = map.get(rootVal); // 中序中根的位置int leftSize = index - inLeft;// 前序 + 中序if (使用前序) {root.left = build(inorder, inLeft, index,xxxorder, xLeft + 1, xLeft + 1 + leftSize);root.right = build(inorder, index + 1, inRight,xxxorder, xLeft + 1 + leftSize, xRight);}// 中序 + 后序else {root.left = build(inorder, inLeft, index,xxxorder, xLeft, xLeft + leftSize);root.right = build(inorder, index + 1, inRight,xxxorder, xLeft + leftSize, xRight - 1);}return root;
}
四、典型例题
105. 从前序与中序遍历序列构造二叉树 - 力扣(LeetCode)
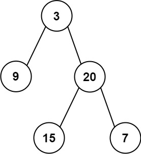
给定两个整数数组 preorder 和 inorder ,其中 preorder 是二叉树的先序遍历, inorder 是同一棵树的中序遍历,请构造二叉树并返回其根节点。
示例 1:

输入: preorder = [3,9,20,15,7], inorder = [9,3,15,20,7] 输出: [3,9,20,null,null,15,7]
示例 2:
输入: preorder = [-1], inorder = [-1] 输出: [-1]
解法
/*** Definition for a binary tree node.* public class TreeNode {* int val;* TreeNode left;* TreeNode right;* TreeNode() {}* TreeNode(int val) { this.val = val; }* TreeNode(int val, TreeNode left, TreeNode right) {* this.val = val;* this.left = left;* this.right = right;* }* }*/
class Solution {Map<Integer, Integer> map;public TreeNode buildTree(int[] preorder, int[] inorder) {map = new HashMap<>();// 将中序遍历的值和索引存入 mapfor (int i = 0; i < inorder.length; i++) {map.put(inorder[i], i);}return findNode(preorder, 0, preorder.length,inorder, 0, inorder.length);}public TreeNode findNode(int[] preorder, int preLeft, int preRight,int[] inorder, int inLeft, int inRight) {// 终止条件if (preLeft >= preRight || inLeft >= inRight) {return null;}// 前序遍历的第一个元素是根节点int rootVal = preorder[preLeft];TreeNode node = new TreeNode(rootVal);// 在中序遍历中找到根的位置int rootIndexInInorder = map.get(rootVal);// 计算左子树的节点数量int leftTreeSize = rootIndexInInorder - inLeft;// 递归构建左子树// preorder: [preLeft+1, preLeft+1+leftTreeSize)// inorder: [inLeft, rootIndexInInorder)node.left = findNode(preorder, preLeft + 1, preLeft + 1 + leftTreeSize,inorder, inLeft, rootIndexInInorder);// 递归构建右子树// preorder: [preLeft+1+leftTreeSize, preRight)// inorder: [rootIndexInInorder+1, inRight)node.right = findNode(preorder, preLeft + 1 + leftTreeSize, preRight,inorder, rootIndexInInorder + 1, inRight);return node;}
}
106. 从中序与后序遍历序列构造二叉树 - 力扣(LeetCode)
给定两个整数数组 inorder 和 postorder ,其中 inorder 是二叉树的中序遍历, postorder 是同一棵树的后序遍历,请你构造并返回这颗 二叉树 。
示例 1:

输入:inorder = [9,3,15,20,7], postorder = [9,15,7,20,3] 输出:[3,9,20,null,null,15,7]
示例 2:
输入:inorder = [-1], postorder = [-1] 输出:[-1]
解法
/*** Definition for a binary tree node.* public class TreeNode {* int val;* TreeNode left;* TreeNode right;* TreeNode() {}* TreeNode(int val) { this.val = val; }* TreeNode(int val, TreeNode left, TreeNode right) {* this.val = val;* this.left = left;* this.right = right;* }* }*/
class Solution {Map<Integer, Integer> map;public TreeNode buildTree(int[] inorder, int[] postorder) {map = new HashMap<>();// 将中序遍历的值和索引存入 map,便于快速查找根的位置for (int i = 0; i < inorder.length; i++) {map.put(inorder[i], i);}return findNode(inorder, 0, inorder.length, postorder, 0, postorder.length);}public TreeNode findNode(int[] inorder, int inLeft, int inRight,int[] postorder, int postLeft, int postRight) {// 终止条件if (inLeft >= inRight || postLeft >= postRight) {return null;}// 后序遍历的最后一个元素是当前子树的根节点int rootVal = postorder[postRight - 1];TreeNode node = new TreeNode(rootVal);// 在中序遍历中找到根节点的位置int rootIndexInInorder = map.get(rootVal);// 计算左子树的节点数量int leftTreeSize = rootIndexInInorder - inLeft;// 递归构建左子树// 中序:[inLeft, rootIndexInInorder)// 后序:[postLeft, postLeft + leftTreeSize)node.left = findNode(inorder, inLeft, rootIndexInInorder,postorder, postLeft, postLeft + leftTreeSize+1);// 递归构建右子树// 中序:[rootIndexInInorder + 1, inRight)// 后序:[postLeft + leftTreeSize, postRight - 1)node.right = findNode(inorder, rootIndexInInorder + 1, inRight,postorder, postLeft + leftTreeSize, postRight - 1);return node;}
}
