软考 系统架构设计师系列知识点之杂项集萃(185)
接前一篇文章:软考 系统架构设计师系列知识点之杂项集萃(184)
第355题
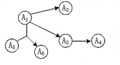
给定关系模式R(U,F),其中:属性集U={A,A2,A3,A4,A5,A6},函数依赖集F={A1→A2,A1→A3,A3→A4,A1A5→A6}。关系模式R的候选码为(),由于R存在非主属性对码的部分函数依赖,所以R属于()。
第1空
A. A1A3
B. A1A4
C. A1A5
D. A1A6
正确答案:C。
第2空
A. 1NF
B. 2NF
C. 3NF
D. BCNF
正确答案:A。
试题解析:
要求关系模式的候选码,可以先将函数依赖画成图的形式:

从图很直观地可以看出,入度为零的结点是A1与A5,从这两个结点的组合出发,能遍历全图,所以A1A5组合键为候选码。
这一问与
