数学分析简明教程——1.4(未完)
【Easy】1.证明是R上的有界函数
因为
,故函数有界
【Easy】2.

这里如果想不到x0取什么可以逆推选一个比M大的数比如M+1,使得f(x0)=M+1,这样就可以逆推得到x0的值。
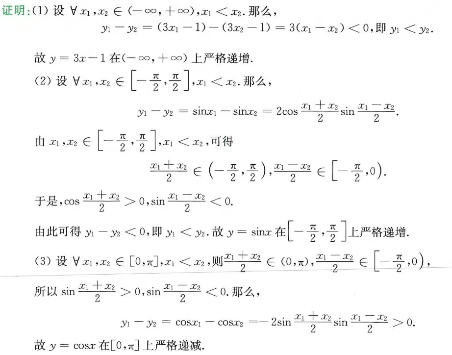
【Middle】3.

利用基本定义证明同时利用积化和差,和差化积公式
【Hard】4.
定理补充:有界的单调数列必定有极限
当得知极限存在时就可以两边同时取极限
其实如果一开始无法证明极限存在但是肯定极限存在,可以先对左右取极限算出极限值代回去证明


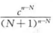
第三题技巧性强,把n拆成了N和n-N两个部分
这个部分因为N有限,因此可以看成是常数
这个部分是已经放缩之后的部分,因为,当n趋于无穷时趋近于0,0*常数=0,故极限是0
